版块导航
正在加载中...
客户端APP下载
论文辅导
调剂小程序
登录
注册
帖子
帖子
用户
本版
应《网络安全法》要求,自2017年10月1日起,未进行实名认证将不得使用互联网跟帖服务。为保障您的帐号能够正常使用,请尽快对帐号进行手机号验证,感谢您的理解与支持!
24小时热门版块排行榜
>
论坛更新日志
(2343)
>
虫友互识
(211)
>
文献求助
(77)
>
考博
(40)
>
论文投稿
(40)
>
导师招生
(38)
>
公派出国
(34)
>
硕博家园
(33)
>
考研
(26)
>
休闲灌水
(24)
>
教师之家
(23)
>
找工作
(22)
>
博后之家
(21)
>
基金申请
(20)
>
论文道贺祈福
(18)
>
招聘信息布告栏
(6)
小木虫论坛-学术科研互动平台
»
计算模拟区
»
计算模拟
»
理论与计算方法
»
添加泡沫金属的相变材料的融化温度变化异常
21
1/1
返回列表
查看: 520 | 回复: 20
只看楼主
@他人
存档
新回复提醒
(忽略)
收藏
在APP中查看
萌新老男孩
新虫
(小有名气)
应助: 0
(幼儿园)
金币: 152
帖子: 79
在线: 12.6小时
虫号: 26185429
已领完
添加泡沫金属的相变材料的融化温度变化异常
领取红包
(小木虫手机app专属红包)
扫一扫,下载小木虫客户端
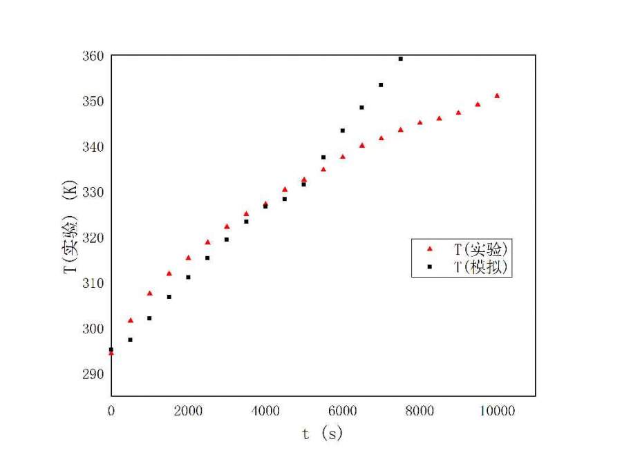
在做相变材料中添加泡沫金属的融化的数值模拟,使用了fluent里面的多孔介质模型和融化凝固模型,但是发现监测点的温度前期吻合得好,超过融化温度以后就出现了剧增,远远超过了实验测得的温度,请问有大佬可以分析一下原因吗
发自小木虫Android客户端
回复此楼
» 猜你喜欢
深圳大学2026年秋博士招生-物理学-活性胶体方向-高永祥课题组
已经有18人回复
论物质与能量的统一模型及物理现象解释
已经有0人回复
物理学I论文润色/翻译怎么收费?
已经有96人回复
基于基元I统一理论的数学相关应用推导
已经有0人回复
基元I统一理论:宇宙本质、层级演化与修炼文明的本源规律
已经有1人回复
基元I理论下三大核心空间现象精准推导与细节解析
已经有0人回复
基于基元 I 统一理论的反重力理论推导
已经有0人回复
基于基元I统一理论的量子力学本源推导
已经有1人回复
推荐一款可以AI辅助写作的Latex编辑器SmartLatexEditor,超级好用,AI润色,全免费
已经有20人回复
【EI|Scopus 双检索】第六届智能机器人系统国际会议(ISoIRS 2026)
已经有0人回复
2026年第四届电动车与车辆工程国际会议(CEVVE 2026)
已经有0人回复
» 本主题相关商家推荐:
(我也要在这里推广)
高级回复
» 抢金币啦!回帖就可以得到:
查看全部散金贴
985教授征女友
+
1
/251
中国石油大学(华东)吴传德教授团队(国家杰青)2026硕、博招生
+
2
/204
江西理工大学联合中国科学院赣江创新研究院招收2026级博士研究生
+
1
/82
广州大学“长江学者”教授团队2026年海内外高层次人才招聘(环境/化学/生物)
+
1
/77
欢迎报考南京农业大学植物环境适应课题组课题组2026级博士生。
+
1
/75
山东征女友,坐标济南
+
1
/69
感谢小木虫的缘分
+
1
/38
同济大学脑机智能团队脑机接口方向招生招聘
+
1
/29
南京医科大学国家级高层次青年人才团队招收博士后
+
1
/22
大叔征婚
+
1
/18
香港城市大学范俊教授招博士生 2名 机器学习和仿真设计新的电池材料 仅限C9高校学生
+
1
/15
中科院深圳先进技术研究院招聘免疫及计算生物学方向博士后、科研助理或联培学生
+
1
/9
中科院深圳先进技术研究院招联培学生 -- 多中心大队列数据已就绪,助你快车道产出成果
+
1
/9
国家“双一流”建设高校-南京林业大学-国家级青年人才团队 招2026级申请考核制博士
+
1
/9
国内树枝状聚合物现在进入量产了吗?
+
1
/5
澳科大招收2026年秋季药剂学/生物材料方向全奖博士研究生(春节不打烊)
+
1
/4
2026年 陕西科技大学 环境学院 招收博士生(化学/材料/环境/生物 背景均可)
+
1
/3
【科研助理招聘-北京理工大学-集成电路与电子学院-国家杰青团队】
+
1
/3
【经验分享】CRISPR基因敲除细胞系构建全流程踩坑指南——从递送方式选择到克隆筛选
+
1
/2
26储能博士申请自荐
+
1
/2
1楼
2022-06-12 00:19:51
已阅
回复此楼
关注TA
给TA发消息
送TA红花
TA的回帖
简单回复
tzynew
2楼
2022-06-12 00:21
回复
萌新老男孩(金币+1): 谢谢参与
已获得
1
个金币
发自小木虫Android客户端
sywshuo
3楼
2022-06-12 00:24
回复
萌新老男孩(金币+1): 谢谢参与
已获得
1
个金币
发自小木虫Android客户端
肖颖哈哈
4楼
2022-06-12 00:25
回复
萌新老男孩(金币+1): 谢谢参与
已获得
1
个金币
发自小木虫Android客户端
1360722740
5楼
2022-06-12 00:34
回复
萌新老男孩(金币+1): 谢谢参与
已获得
1
个金币
发自小木虫Android客户端
ATLANTS
6楼
2022-06-12 00:48
回复
萌新老男孩(金币+1): 谢谢参与
已获得
1
个金币
发自小木虫Android客户端
凝聚意志
7楼
2022-06-12 01:02
回复
萌新老男孩(金币+1): 谢谢参与
已获得
1
个金币
发自小木虫IOS客户端
F1994
8楼
2022-06-12 01:41
回复
萌新老男孩(金币+1): 谢谢参与
已获得
1
个金币
发自小木虫Android客户端
lyns1218
9楼
2022-06-12 07:17
回复
萌新老男孩(金币+1): 谢谢参与
已获得
1
个金币
发自小木虫Android客户端
wwyygg0520
10楼
2022-06-12 07:20
回复
萌新老男孩(金币+1): 谢谢参与
已获得
1
个金币
发自小木虫Android客户端
yuekong
11楼
2022-06-12 07:48
回复
萌新老男孩(金币+1): 谢谢参与
已获得
1
个金币
发自小木虫Android客户端
物理类
12楼
2022-06-12 07:48
回复
萌新老男孩(金币+1): 谢谢参与
已获得
1
个金币
发自小木虫Android客户端
毕格不拉稀
13楼
2022-06-12 07:54
回复
萌新老男孩(金币+1): 谢谢参与
已获得
1
个金币
发自小木虫IOS客户端
brave515
14楼
2022-06-12 08:04
回复
萌新老男孩(金币+1): 谢谢参与
已获得
1
个金币
发自小木虫IOS客户端
eacbiazzb
15楼
2022-06-12 08:14
回复
萌新老男孩(金币+1): 谢谢参与
已获得
1
个金币
发自小木虫Android客户端
游泳de蜗牛
16楼
2022-06-12 08:15
回复
萌新老男孩(金币+1): 谢谢参与
已获得
1
个金币
发自小木虫IOS客户端
innerpeace12
17楼
2022-06-12 08:24
回复
萌新老男孩(金币+1): 谢谢参与
已获得
1
个金币
发自小木虫Android客户端
秋土豆香
18楼
2022-06-12 08:46
回复
萌新老男孩(金币+1): 谢谢参与
已获得
1
个金币
发自小木虫Android客户端
jandy529
19楼
2022-06-12 08:48
回复
萌新老男孩(金币+1): 谢谢参与
已获得
1
个金币
发自小木虫IOS客户端
XueMF0819
20楼
2022-06-12 08:48
回复
萌新老男孩(金币+1): 谢谢参与
已获得
1
个金币
发自小木虫Android客户端
huangbei515
21楼
2022-06-12 10:16
回复
萌新老男孩(金币+1): 谢谢参与
已获得
1
个金币
发自小木虫Android客户端
相关版块跳转
第一性原理
量子化学
计算模拟
分子模拟
仿真模拟
程序语言
我要订阅楼主
萌新老男孩
的主题更新
21
1/1
返回列表
如果回帖内容含有宣传信息,请如实选中。否则帐号将被全论坛禁言
普通表情
龙
兔
虎
猫
高级回复
(可上传附件)
百度网盘
|
360云盘
|
千易网盘
|
华为网盘
在新窗口页面中打开自己喜欢的网盘网站,将文件上传后,然后将下载链接复制到帖子内容中就可以了。
信息提示
关闭
请填处理意见
关闭
确定