| 查看: 740 | 回复: 3 | ||
| 【悬赏金币】回答本帖问题,作者xiaomeim将赠送您 29 个金币 | ||
[求助]
请各位大神伸出援手帮我解个题(有偿) 已有1人参与
|
||
|
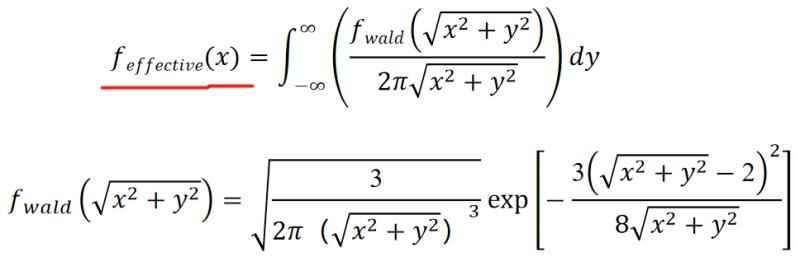
想求出f effective(x),请问有没有大神可以帮忙算一算这个公式?能够用R或C语言算出来最好,手算也行,提供思路也可以(有偿)。感谢感谢感谢!!! @laosam280 发自小木虫Android客户端 |
» 猜你喜欢
一志愿西电085401数一英一299求调剂 六级521
已经有3人回复
生物考研337分求调剂
已经有5人回复
求调剂:085600材料与化工,考材科基,总分319
已经有14人回复
285求调剂
已经有10人回复
化学工程085602 305分求调剂
已经有29人回复
理学07化学 303求调剂
已经有5人回复
081200-11408-276学硕求调剂
已经有3人回复
土木304求调剂
已经有5人回复
一志愿中国科学院大学265求调剂
已经有7人回复
286求调剂
已经有8人回复
|
本帖内容被屏蔽 |
2楼2022-06-04 05:53:33
zyh700600
金虫 (小有名气)
- 应助: 47 (小学生)
- 金币: 9368.2
- 红花: 10
- 帖子: 266
- 在线: 137.1小时
- 虫号: 56711
- 注册: 2005-01-16
- 专业: 金融工程
3楼2022-06-05 12:15:38
zyh700600
金虫 (小有名气)
- 应助: 47 (小学生)
- 金币: 9368.2
- 红花: 10
- 帖子: 266
- 在线: 137.1小时
- 虫号: 56711
- 注册: 2005-01-16
- 专业: 金融工程
4楼2022-06-05 12:46:07














回复此楼