| 查看: 684 | 回复: 0 | ||
| 【悬赏金币】回答本帖问题,作者材料小小白痴将赠送您 100 个金币 | ||
[求助]
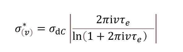
连续时间随机游走模型(CTRW)模型
|
||
|
求助 将这个模型分解成复数形式 发自小木虫Android客户端 |
» 猜你喜欢
售SCI一区文章,我:8 O5 51O 54,科目齐全
已经有4人回复
售SCI一区文章,我:8 O5 51O 54,科目齐全
已经有4人回复
售SCI一区文章,我:8 O5 51O 54,科目齐全
已经有4人回复
售SCI一区文章,我:8 O5 51O 54,科目齐全
已经有5人回复
售SCI一区文章,我:8 O5 51O 54,科目齐全
已经有5人回复
有院领导为了换新车,用横向课题经费买了俩车
已经有7人回复
售SCI一区文章,我:8 O5 51O 54,科目齐全
已经有5人回复
售SCI一区文章,我:8 O5 51O 54,科目齐全
已经有6人回复
售SCI一区文章,我:8 O5 51O 54,科目齐全
已经有6人回复
售SCI一区文章,我:8 O5 51O 54,科目齐全
已经有6人回复













回复此楼