| 查看: 584 | 回复: 0 | ||
| 【悬赏金币】回答本帖问题,作者白马-黑犬将赠送您 20 个金币 | ||
[求助]
求用FVM或FDM求解两个耦合的偏微分方程
|
||
|
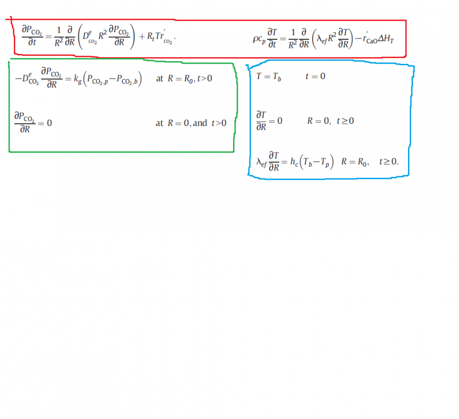
如附件中的图片所示,传热、传质方程相互耦合,两个方程的边界条件都是第二类加第三类, 文献中说对于耦合方程组可采用有限差分或有限体积法求解,但是我只会求解单个方程, 耦合方程组该如何求解? 求这方面大佬提供个思路或者提供个相关案例也可,万分感谢!! 实验平台:matlab 水蒸气环境下的碳酸钙分解.png |
» 猜你喜欢
石墨烯转移--二氧化硅衬底石墨烯
已经有0人回复
笼目材料中量子自旋液体基态的证据
已经有0人回复
物理学I论文润色/翻译怎么收费?
已经有216人回复
数学教学论硕士可以读数学物理博士吗?
已经有0人回复
德国亥姆霍兹Hereon中心汉堡分部招镁合金腐蚀裂变SCC课题方向2026公派博士生
已经有4人回复
澳门大学 应用物理及材料工程研究院 潘晖教授课题组诚招博士后
已经有11人回复
求助NH4V4O10晶体的CIF文件
已经有0人回复
英国全奖博士招聘-深度学习与量子物理
已经有0人回复
间接带隙半导体有效质量求助
已经有1人回复
投稿chemical physical letters不送审?
已经有2人回复
南开大学物理学院张书辉副教授招收凝聚态物理理论方向博士生、硕士生
已经有20人回复













回复此楼