| 查看: 796 | 回复: 1 | |||
| 【有奖交流】积极回复本帖子,参与交流,就有机会分得作者 刘平weinb 的 5 个金币 | |||
刘平weinb铜虫 (初入文坛)
|
[交流]
能带态密度分析
|
||
|
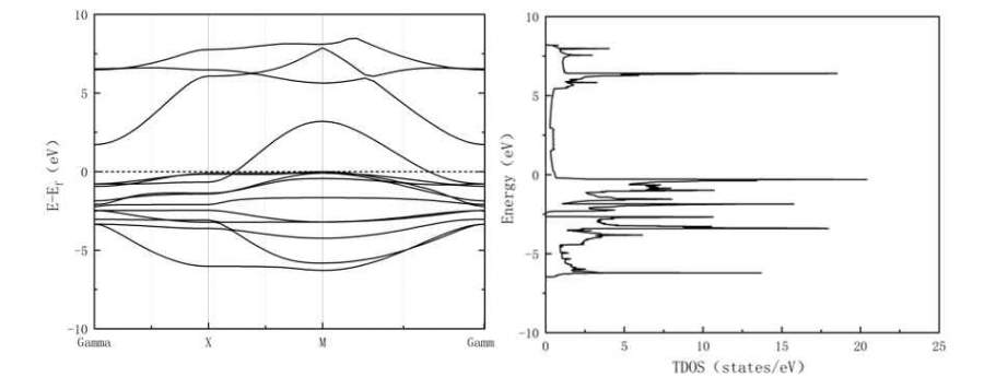
哪位大佬帮忙分析一下下图的能带和态密度啊 在做毕业论文内容,图画出来了,但是不会分析 发自小木虫Android客户端 |
» 猜你喜欢
0703化学调剂 ,六级已过,有科研经历
已经有8人回复
268求调剂
已经有8人回复
材料,纺织,生物(0856、0710),化学招生啦
已经有7人回复
301求调剂
已经有5人回复
281求调剂(0805)
已经有7人回复
材料与化工求调剂
已经有6人回复
299求调剂
已经有4人回复
277调剂
已经有6人回复
341求调剂
已经有7人回复
328求调剂,英语六级551,有科研经历
已经有8人回复
2楼2022-03-07 16:00:24













回复此楼