| 查看: 453 | 回复: 0 | |||
[交流]
Origin拟合复杂函数
|
|
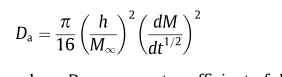
求解这个函数如何拟合。 发自小木虫Android客户端 |
» 猜你喜欢
土木水利调剂,速码!错过等一年!
已经有0人回复
东北石油大学土木工程、土木水利专业招收调剂
已经有0人回复
建筑环境与结构工程论文润色/翻译怎么收费?
已经有218人回复
土木水利调剂
已经有0人回复
293 调剂
已经有1人回复
西京学院土木水利研究生调剂
已经有0人回复
招收调剂研究生——西京 土木水利
已经有0人回复
293求调剂
已经有2人回复
293求调剂
已经有6人回复
西京学院-结构工程-2026研究生调剂
已经有0人回复
南通大学-交通与土木工程学院 招调剂学生
已经有13人回复















回复此楼