| 查看: 459 | 回复: 1 | ||
anndy1971铁杆木虫 (著名写手)
催化达人
|
[交流]
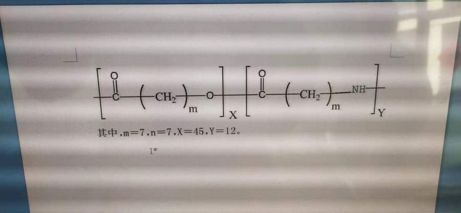
这个物质是什么?有没有卖的? 已有1人参与
|
wolfyloner
至尊木虫 (知名作家)
- PEPI: 2
- 应助: 755 (博后)
- 贵宾: 0.017
- 金币: 18522.6
- 红花: 107
- 帖子: 6759
- 在线: 1501.9小时
- 虫号: 578364
- 注册: 2008-07-04
- 性别: GG
- 专业: 应用高分子化学与物理

2楼2022-03-03 16:42:16













回复此楼