| ²é¿´: 1022 | »Ø¸´: 1 | ||
| ¡¾ÐüÉͽð±Ò¡¿»Ø´ð±¾ÌûÎÊÌ⣬×÷ÕßApolloYY½«ÔùËÍÄú 10 ¸ö½ð±Ò | ||
ApolloYYгæ (³õÈëÎÄ̳)
|
[ÇóÖú]
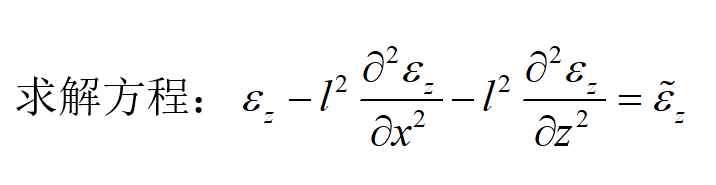
ÇóÖú ÇóÖú Á½¸ö×Ô±äÁ¿µÄƫ΢·Ö·½³ÌÔõô½âѽ
|
|
|
Çó½â¦Åz ·¢×ÔСľ³æAndroid¿Í»§¶Ë |
» ²ÂÄãϲ»¶
³õÊÔ 317
ÒѾÓÐ3È˻ظ´
279·ÖÇóµ÷¼Á Ò»Ö¾Ô¸211
ÒѾÓÐ15È˻ظ´
286Çóµ÷¼Á
ÒѾÓÐ4È˻ظ´
279Çóµ÷¼Á
ÒѾÓÐ4È˻ظ´
Çóµ÷¼Á
ÒѾÓÐ3È˻ظ´
Çóµ÷¼Á
ÒѾÓÐ3È˻ظ´
299Çóµ÷¼Á
ÒѾÓÐ3È˻ظ´
330Çóµ÷¼Á0854
ÒѾÓÐ3È˻ظ´
299Çóµ÷¼Á
ÒѾÓÐ6È˻ظ´
286·ÖÈ˹¤ÖÇÄÜרҵÇëÇóµ÷¼ÁÔ¸Òâ¿ç¿¼£¡
ÒѾÓÐ5È˻ظ´
ApolloYY
гæ (³õÈëÎÄ̳)
- Ó¦Öú: 0 (Ó×¶ùÔ°)
- ½ð±Ò: 33
- Ìû×Ó: 9
- ÔÚÏß: 28·ÖÖÓ
- ³æºÅ: 26565068
- ×¢²á: 2021-06-09
- ÐÔ±ð: GG
- רҵ: Á¦Ñ§
2Â¥2022-02-21 21:58:14













»Ø¸´´ËÂ¥