| 查看: 1414 | 回复: 4 | ||
| 【悬赏金币】回答本帖问题,作者zlhxixixi将赠送您 5 个金币 | ||
[求助]
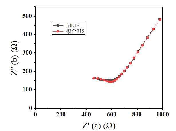
固态电解质交流阻抗曲线分析
|
||
|
为什么曲线没有半圆,只有一部分圆弧,拟合的等效电路是有3部分电阻 固态电解质,对不锈钢电极,频率1Hz-1MHz @langzhizhou 发自小木虫Android客户端 |
» 猜你喜欢
湖南农业大学能源材料创新团队招收2025化学专业研究生(学硕)调剂
已经有0人回复
2026年西华大学材料学院-材料近净成形与表面技术研究团队-招收调剂研究生
已经有9人回复
物理化学论文润色/翻译怎么收费?
已经有174人回复
调剂信息
已经有0人回复
华南理工0703化学,总分336求调剂
已经有8人回复
河北农大生物与医药专业招收调剂,名额充足
已经有0人回复
齐鲁工业大学 国家重点实验室-新能源、锂离子电池、材料、化学方向
已经有0人回复
一志愿前4位代码0703均可报名-河北大学分析化学专业招收调剂考生
已经有57人回复
★★爆★★0860生物与医药调剂考生看过来,河北大学化学与材料科学学院
已经有73人回复
杰青/长江团队招收调剂
已经有0人回复
中南林业科技大学罗勇锋教授团队2026年招收材料类调剂研究生
已经有0人回复
Faze
至尊木虫 (知名作家)
桃溪居士
- 应助: 3 (幼儿园)
- 金币: 11088.1
- 散金: 145
- 红花: 32
- 沙发: 77
- 帖子: 5502
- 在线: 392.1小时
- 虫号: 8588462
- 注册: 2018-04-22
- 性别: GG
- 专业: 电化学

2楼2022-01-02 18:01:09
3楼2022-01-02 18:55:39
4楼2022-01-02 18:58:02
5楼2022-01-09 04:42:30














回复此楼
