24小时热门版块排行榜    

Znn3bq.jpeg
查看: 709  |  回复: 0
【悬赏金币】回答本帖问题,作者ezjjcbn将赠送您 5 个金币

ezjjcbn

新虫 (初入文坛)

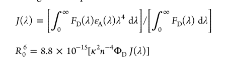
[求助] 磷光量子产率中的K怎么计算,都代表什么,福斯特能量转移公式中的R0具体怎么求

磷光量子产率中的K具体的计算方法是什么,怎么求,福斯能量转移公式里的半径R0怎么求,希望大佬能教一下

磷光量子产率中的K怎么计算,都代表什么,福斯特能量转移公式中的R0具体怎么求
lingunagliangzichanlv.png


磷光量子产率中的K怎么计算,都代表什么,福斯特能量转移公式中的R0具体怎么求-1
R0.png
回复此楼
已阅   回复此楼   关注TA 给TA发消息 送TA红花 TA的回帖
相关版块跳转 我要订阅楼主 ezjjcbn 的主题更新
不应助 确定回帖应助 (注意:应助才可能被奖励,但不允许灌水,必须填写15个字符以上)
最具人气热帖推荐 [查看全部] 作者 回/看 最后发表
[基金申请] 这年头没有找到涵评专家,还有中面上的可能吗 +11 dd921ww 2026-05-12 13/650 2026-05-16 09:16 by Howard28
[考博] 2026博士还有哪些学校有名额 +4 小王求读研 2026-05-15 5/250 2026-05-16 07:09 by lilibo1987
[公派出国] 售SCI一区T0P文章,我:8.O.5.5.1.O.5.4,科目齐全,可+急 +4 l7k6xnh0yc 2026-05-14 4/200 2026-05-16 04:44 by k37jurhrau
[硕博家园] 售SCI一区T0P文章,我:8.O.5.5.1.O.5.4,科目齐全,可+急 +4 l7k6xnh0yc 2026-05-14 5/250 2026-05-16 04:29 by k37jurhrau
[硕博家园] 售SCI一区T0P文章,我:8.O.5.5.1.O.5.4,科目齐全,可+急 +3 cjf4bx70cj 2026-05-14 5/250 2026-05-16 04:24 by k37jurhrau
[找工作] 售SCI一区T0P文章,我:8.O.5.5.1.O.5.4,科目齐全,可+急 +3 l7k6xnh0yc 2026-05-14 3/150 2026-05-16 01:49 by k37jurhrau
[教师之家] 上海大学实验技术岗位非升即走 +5 嘻嘻哈哈乐呵呵 2026-05-15 5/250 2026-05-16 00:17 by caiyun
[文学芳草园] 窗边初夏的小雨 +8 阿美_Lml888 2026-05-09 11/550 2026-05-15 23:54 by WASM
[考博] 西南大学考核制博士 +4 lijunjie84 2026-05-11 7/350 2026-05-15 23:20 by 同仁堂教主
[文学芳草园] 风把牡丹吹跑了 +5 myrtle 2026-05-12 9/450 2026-05-15 15:27 by myrtle
[基金申请] 青C资助名额大幅增加! +11 西葫芦炒鸡蛋 2026-05-13 15/750 2026-05-15 14:36 by ambravo
[基金申请] 精华III评审感受-评审感受-评审感受 +14 ferrarichen 2026-05-11 18/900 2026-05-15 11:12 by cmhchen
[考研] 售SCI一区T0P文章,我:8.O.5.5.1.O.5.4,科目齐全,可+急 +3 cjf4bx70cj 2026-05-14 4/200 2026-05-15 09:03 by gagyerk94e
[教师之家] 教学课件你会给同学吗 +8 硕士研究生吗 2026-05-13 8/400 2026-05-14 22:23 by 常规沥青
[考博] 26应届毕业生考博求助 +3 wo一定上岸 2026-05-13 3/150 2026-05-14 21:47 by 明海天涯
[基金申请] 重磅!青年科学基金项目(C类)资助增幅预计超过50% +5 水和泥不是水泥 2026-05-13 7/350 2026-05-14 20:57 by 水和泥不是水泥
[高分子] 本人最近太闲了,谁有问题可以提,每天会统一回复 +8 一切都是空工 2026-05-12 19/950 2026-05-14 20:03 by 一切都是空工
[考博] 申博自荐 +4 食品的橙子 2026-05-09 6/300 2026-05-14 16:05 by great1919
[考博] 材料类只有一篇综述能申博么 +4 乐逍遥谷 2026-05-13 4/200 2026-05-14 12:05 by zhyzzh
[考博] 现在不知道怎么办,感觉很痛苦 +4 qweww 2026-05-11 5/250 2026-05-11 20:23 by Oversize
信息提示
请填处理意见