| 查看: 1679 | 回复: 8 | ||
| 【悬赏金币】回答本帖问题,作者销户销户将赠送您 35 个金币 | ||
销户销户新虫 (初入文坛)
|
[求助]
氧还原曲线极限电流过低 已有3人参与
|
|
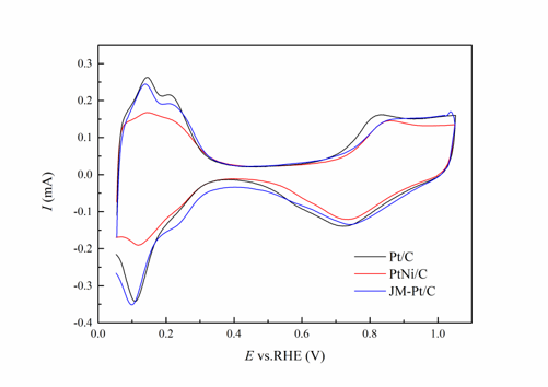
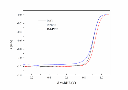
请教各位电化学大佬,为啥我做的45%Pt载量的PtNi催化剂ORR曲线极限电流低 (1图是师兄做的,2图是我做的,实验流程相同)。因为师兄已毕业,不方便问。测试条件: 测试溶液为 0.1 mol·L^-1 高氯酸溶液; 扫速10 mV/s,步长2mV,电极旋转速度为1600 r/min; 氧气通了1h已饱和,恒温25℃; 催化剂取10微升,电极面积0.196cm^2 PtNi1.png PtNi.png@langzhizhou@Gamry-电化学 |
» 猜你喜欢
山东科技大学(省属重点一本)泰山学者团队招收研究生调剂3-5名,新能源与新材料方向
已经有7人回复
生物与医药专业硕士调剂(河北大学 化学与材料科学学院)
已经有33人回复
分析化学论文润色/翻译怎么收费?
已经有137人回复
河北大学分析化学招收多名调剂考生
已经有37人回复
【2026博士申请】化学、电池、材料
已经有2人回复
杰青/长江团队招收硕士调剂
已经有4人回复
青岛大学化学化工学院2026年招收调剂硕士研究生
已经有0人回复
材料科学与工程 或 材料与化工(专硕)调剂 要求:初试考408
已经有0人回复
298分 070300求调剂
已经有11人回复
湖南大学张世国团队招26年第二批博士—离子液体、高分子与凝胶材料
已经有0人回复
湖南农业大学能源材料创新团队招收2025化学专业研究生(学硕)调剂
已经有0人回复
2楼2021-12-08 11:17:22
销户销户
新虫 (初入文坛)
- 应助: 0 (幼儿园)
- 金币: 30.2
- 散金: 9
- 帖子: 27
- 在线: 10小时
- 虫号: 26453577
- 注册: 2021-05-22
- 性别: GG
- 专业: 无机合成和制备化学
3楼2021-12-13 13:11:48
蓝色钢琴
铁杆木虫 (著名写手)
- 应助: 13 (小学生)
- 金币: 9650.5
- 散金: 215
- 红花: 1
- 帖子: 1377
- 在线: 151.3小时
- 虫号: 22925714
- 注册: 2020-06-24
- 专业: 电化学
4楼2021-12-13 13:26:18
电化学ZCZ
木虫 (小有名气)
- 应助: 5 (幼儿园)
- 金币: 3150.7
- 散金: 172
- 帖子: 158
- 在线: 9小时
- 虫号: 26546390
- 注册: 2021-06-06
- 性别: GG
- 专业: 电化学分析
5楼2022-01-24 10:50:07
6楼2022-03-02 11:22:39
7楼2022-10-11 19:49:52
8楼2024-05-21 21:53:12
9楼2024-08-06 17:53:48














(1图是师兄做的,2图是我做的,实验流程相同)。因为师兄已毕业,不方便问。
回复此楼