| 查看: 1654 | 回复: 1 | ||
| 【悬赏金币】回答本帖问题,作者fef321641将赠送您 20 个金币 | ||
fef321641新虫 (著名写手)
|
[求助]
CV曲线左侧面积大于右侧
|
|
|
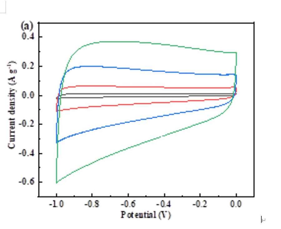
材料为多孔碳材料,但是cv曲线在相同电位窗下,从左侧计算的电容值高于右侧,请问这是为什么呢? @vimpile @langzhizhou @Gamry-电化学 发自小木虫Android客户端 |
» 猜你喜欢
湖南农业大学能源材料创新团队招收2025化学专业研究生(学硕)调剂
已经有0人回复
2026年西华大学材料学院-材料近净成形与表面技术研究团队-招收调剂研究生
已经有9人回复
物理化学论文润色/翻译怎么收费?
已经有193人回复
调剂信息
已经有0人回复
华南理工0703化学,总分336求调剂
已经有11人回复
河北农大生物与医药专业招收调剂,名额充足
已经有0人回复
齐鲁工业大学 国家重点实验室-新能源、锂离子电池、材料、化学方向
已经有0人回复
一志愿前4位代码0703均可报名-河北大学分析化学专业招收调剂考生
已经有57人回复
★★爆★★0860生物与医药调剂考生看过来,河北大学化学与材料科学学院
已经有76人回复
杰青/长江团队招收调剂
已经有0人回复
中南林业科技大学罗勇锋教授团队2026年招收材料类调剂研究生
已经有0人回复
» 本主题相关商家推荐: (我也要在这里推广)
2楼2022-03-27 08:14:09














回复此楼