| 查看: 2773 | 回复: 7 | ||
| 【悬赏金币】回答本帖问题,作者茶汤子将赠送您 20 个金币 | ||
[求助]
离子迁移数计算结果有问题
|
||
|
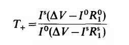
采用的商用电解液和隔膜,制作的锂片-隔膜-锂片电池,初始电压很低,只有几个毫伏,采用CHI电化学工作站测试,交流阻抗和计时电流法测极化,极化电压10mV,极化1000s,得到的数据带入公式后发现结果大于1了,不知道什么原因,请大神帮忙分析一下,谢谢! @langzhizhou @a88592718 @louderbe 发自小木虫Android客户端 |
» 猜你喜欢
青岛大学化学化工学院2026年招收调剂硕士研究生
已经有0人回复
2026年宁波工程学院招收硕士研究生(调剂)
已经有6人回复
分析化学论文润色/翻译怎么收费?
已经有158人回复
山东科技大学(省属重点一本)泰山学者团队招收研究生调剂3-5名,新能源与新材料方向
已经有6人回复
生物与医药专业硕士调剂(河北大学 化学与材料科学学院)
已经有33人回复
河北大学分析化学招收多名调剂考生
已经有31人回复
【2026博士申请】化学、电池、材料
已经有1人回复
杰青/长江团队招收硕士调剂
已经有4人回复
青岛大学化学化工学院2026年招收调剂硕士研究生
已经有0人回复
材料科学与工程 或 材料与化工(专硕)调剂 要求:初试考408
已经有0人回复
298分 070300求调剂
已经有8人回复
2楼2021-11-28 17:34:06
小树林123
铁虫 (著名写手)
- 应助: 0 (幼儿园)
- 金币: 3403.5
- 红花: 3
- 帖子: 1331
- 在线: 225.9小时
- 虫号: 1985384
- 注册: 2012-09-08
- 专业: 高分子合成化学
|
2.96÷3.67×(0.01?204×3.76÷100,000)÷(0.01?270×2.96÷100,000)=093 发自小木虫Android客户端 |
» 本帖已获得的红花(最新10朵)
3楼2021-11-28 21:11:25
4楼2021-11-29 10:17:04
小树林123
铁虫 (著名写手)
- 应助: 0 (幼儿园)
- 金币: 3403.5
- 红花: 3
- 帖子: 1331
- 在线: 225.9小时
- 虫号: 1985384
- 注册: 2012-09-08
- 专业: 高分子合成化学
5楼2021-11-29 12:40:23
6楼2021-11-29 13:56:04
7楼2023-07-07 15:50:49
8楼2023-11-26 10:27:38














回复此楼
茶汤子