24小时热门版块排行榜    

查看: 1769  |  回复: 10

hpkyy

金虫 (小有名气)

引用回帖:
5楼: Originally posted by zyh700600 at 2021-11-29 13:45:25
可参考:
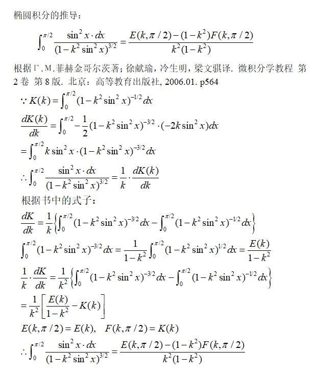
Г.М.菲赫金哥尔茨著;徐献瑜,冷生明,梁文骐译. 微积分学教程 第2卷 第8版. 北京:高等教育出版社, 2006.01.
p564




注意:
K(k) = F(k)
sin(x)^2/(1-k^2*sin(x)^2)^(3/2) = (dK/dt)/k...

感谢你的回复,根据你的指导,整个推导过程如下:
求下面椭圆积分的出处
Snipaste_2021-12-03_13-22-44.jpg

11楼2021-12-03 13:25:01
已阅   回复此楼   关注TA 给TA发消息 送TA红花 TA的回帖
相关版块跳转 我要订阅楼主 hpkyy 的主题更新
最具人气热帖推荐 [查看全部] 作者 回/看 最后发表
[考研] 材料学学硕080502 337求调剂-一志愿华中科技大学 +4 顺顺顺mr 2026-03-18 5/250 2026-03-21 10:22 by luoyongfeng
[考研] 268求调剂 +7 简单点0 2026-03-17 7/350 2026-03-21 08:32 by JourneyLucky
[考研] 南昌大学材料专硕311分求调剂 +6 77chaselx 2026-03-20 6/300 2026-03-21 07:24 by JourneyLucky
[考研] 328求调剂,英语六级551,有科研经历 +4 生物工程调剂 2026-03-17 8/400 2026-03-21 02:12 by JourneyLucky
[考研] 一志愿 西北大学 ,070300化学学硕,总分287,双非一本,求调剂。 +3 晨昏线与星海 2026-03-18 3/150 2026-03-21 00:46 by JourneyLucky
[考研] 一志愿重庆大学085700资源与环境专硕,总分308求调剂 +3 墨墨漠 2026-03-18 3/150 2026-03-21 00:39 by JourneyLucky
[考研] 材料专硕英一数二306 +7 z1z2z3879 2026-03-18 7/350 2026-03-20 23:48 by JourneyLucky
[考研] 308求调剂 +3 阿姐阿姐家啊 2026-03-18 3/150 2026-03-20 23:24 by JourneyLucky
[考研] 求调剂,一志愿:南京航空航天大学大学 ,080500材料科学与工程学硕,总分289分 +4 @taotao 2026-03-19 4/200 2026-03-20 22:14 by JourneyLucky
[考研] 085600材料与化工 +8 安全上岸! 2026-03-16 8/400 2026-03-20 22:13 by luoyongfeng
[考研] 290求调剂 +7 ^O^乜 2026-03-19 7/350 2026-03-20 21:43 by JourneyLucky
[考研] A区线材料学调剂 +5 周周无极 2026-03-20 5/250 2026-03-20 21:33 by laoshidan
[考研] 353求调剂 +3 拉钩不许变 2026-03-20 3/150 2026-03-20 19:56 by JourneyLucky
[考研] 求调剂 +3 @taotao 2026-03-20 3/150 2026-03-20 19:35 by JourneyLucky
[考研] 08工学调剂 +5 用户573181 2026-03-20 5/250 2026-03-20 15:47 by xia_2003
[考研] 生物学调剂招人!!! +3 山海天岚 2026-03-17 4/200 2026-03-19 21:34 by 怎么释怀
[考研] 梁成伟老师课题组欢迎你的加入 +9 一鸭鸭哟 2026-03-14 11/550 2026-03-19 17:22 by !本暗一次!
[考研] 考研求调剂 +3 橘颂. 2026-03-17 4/200 2026-03-17 21:43 by 有只狸奴
[考研] 中科院材料273求调剂 +4 yzydy 2026-03-15 4/200 2026-03-16 15:59 by Gaodh_82
[考研] 26考研一志愿中国石油大学(华东)305分求调剂 +3 嘉年新程 2026-03-15 3/150 2026-03-15 13:58 by 哈哈哈哈嘿嘿嘿
信息提示
请填处理意见