| 查看: 955 | 回复: 3 | ||
| 【悬赏金币】回答本帖问题,作者Walkingcao将赠送您 5 个金币 | ||
[求助]
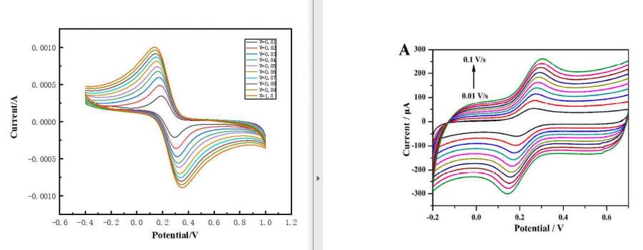
【求助求助】做出来的图和文献里面正好相反 已有1人参与
|
||
| 左面我做出来的图,右边文献里的图,正好相反,有大佬知道什么情况么,感谢 |
» 猜你喜欢
湖南农业大学能源材料创新团队招收2025化学专业研究生(学硕)调剂
已经有0人回复
2026年西华大学材料学院-材料近净成形与表面技术研究团队-招收调剂研究生
已经有9人回复
物理化学论文润色/翻译怎么收费?
已经有136人回复
调剂信息
已经有0人回复
华南理工0703化学,总分336求调剂
已经有8人回复
河北农大生物与医药专业招收调剂,名额充足
已经有0人回复
齐鲁工业大学 国家重点实验室-新能源、锂离子电池、材料、化学方向
已经有0人回复
一志愿前4位代码0703均可报名-河北大学分析化学专业招收调剂考生
已经有57人回复
★★爆★★0860生物与医药调剂考生看过来,河北大学化学与材料科学学院
已经有73人回复
杰青/长江团队招收调剂
已经有0人回复
中南林业科技大学罗勇锋教授团队2026年招收材料类调剂研究生
已经有0人回复
2楼2021-11-25 12:42:50
w8217174
铁虫 (正式写手)
- 应助: 5 (幼儿园)
- 金币: 1564.6
- 红花: 2
- 帖子: 470
- 在线: 175小时
- 虫号: 1272715
- 注册: 2011-04-21
- 性别: GG
- 专业: 电化学

3楼2021-11-25 15:22:48
344056216
银虫 (小有名气)
- 应助: 15 (小学生)
- 金币: 4191.9
- 散金: 659
- 红花: 2
- 帖子: 105
- 在线: 2384.9小时
- 虫号: 1096125
- 注册: 2010-09-11
- 性别: GG
- 专业: 区域环境化学
4楼2021-11-25 17:08:17














回复此楼