| 查看: 1912 | 回复: 10 | ||
| 【悬赏金币】回答本帖问题,作者lovezhen702将赠送您 20 个金币 | ||
lovezhen702金虫 (正式写手)
|
[求助]
怎么制备端羧基的聚乳酸? 已有1人参与
|
|
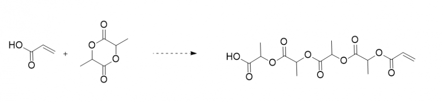
| 请问怎么制备端羧基的聚乳酸呢,端羟基的是醇引发,文献也挺多的,端羧基的是羧酸引发吗,怎么查不到资料呢? |
» 猜你喜欢
学科生物354求调剂
已经有0人回复
大连工业大学 生物质能源与材料专业招收调剂生,有兴趣加联系:15732893021
已经有0人回复
生物物理、生物化学与分子生物学论文润色/翻译怎么收费?
已经有153人回复
生物光子学研究院/激光生命科学教育部重点实验室 研究生调剂
已经有0人回复
大连工业大学 生物质能源与材料专业招收调剂生,有兴趣加联系:15732893021
已经有0人回复
求调剂!生物与医药专硕
已经有5人回复
大连工业大学 生物质能源与材料专业招收调剂生,有兴趣加联系:15732893021
已经有0人回复
大连工业大学 生物质能源与材料专业招收调剂生,有兴趣将简历发送到507432328@qq.com
已经有0人回复
生物学308分求调剂(一志愿华东师大)
已经有7人回复
大连工业大学 生物质能源与材料专业招收调剂生,有兴趣将简历发送到507432328@qq.com
已经有0人回复
生物学308分求调剂(一志愿华东师大)
已经有1人回复

JHR1101
铜虫 (著名写手)
- 应助: 0 (幼儿园)
- 金币: 4015.9
- 红花: 12
- 帖子: 1135
- 在线: 50.2小时
- 虫号: 4980143
- 注册: 2016-09-04
- 性别: GG
- 专业: 生物医用高分子材料
2楼2021-11-13 09:09:42
lovezhen702
金虫 (正式写手)
- 应助: 27 (小学生)
- 金币: 853.1
- 散金: 287
- 红花: 1
- 帖子: 680
- 在线: 649.9小时
- 虫号: 1051783
- 注册: 2010-07-04
- 性别: GG
- 专业: 有机合成

3楼2021-11-13 19:03:38
JHR1101
铜虫 (著名写手)
- 应助: 0 (幼儿园)
- 金币: 4015.9
- 红花: 12
- 帖子: 1135
- 在线: 50.2小时
- 虫号: 4980143
- 注册: 2016-09-04
- 性别: GG
- 专业: 生物医用高分子材料
4楼2021-11-13 20:08:41
济南岱罡生物
木虫 (著名写手)
医用降解聚乳酸合成销售
- 应助: 68 (初中生)
- 金币: 4966.2
- 红花: 23
- 帖子: 1243
- 在线: 109.4小时
- 虫号: 3967709
- 注册: 2015-07-13
- 性别: GG
- 专业: 生物医用高分子材料
5楼2021-11-13 21:47:51
JHR1101
铜虫 (著名写手)
- 应助: 0 (幼儿园)
- 金币: 4015.9
- 红花: 12
- 帖子: 1135
- 在线: 50.2小时
- 虫号: 4980143
- 注册: 2016-09-04
- 性别: GG
- 专业: 生物医用高分子材料
6楼2021-11-14 13:05:00
lovezhen702
金虫 (正式写手)
- 应助: 27 (小学生)
- 金币: 853.1
- 散金: 287
- 红花: 1
- 帖子: 680
- 在线: 649.9小时
- 虫号: 1051783
- 注册: 2010-07-04
- 性别: GG
- 专业: 有机合成

7楼2021-11-18 14:25:38
lovezhen702
金虫 (正式写手)
- 应助: 27 (小学生)
- 金币: 853.1
- 散金: 287
- 红花: 1
- 帖子: 680
- 在线: 649.9小时
- 虫号: 1051783
- 注册: 2010-07-04
- 性别: GG
- 专业: 有机合成

8楼2021-11-18 14:30:34
lovezhen702
金虫 (正式写手)
- 应助: 27 (小学生)
- 金币: 853.1
- 散金: 287
- 红花: 1
- 帖子: 680
- 在线: 649.9小时
- 虫号: 1051783
- 注册: 2010-07-04
- 性别: GG
- 专业: 有机合成

9楼2021-11-18 14:35:57
JHR1101
铜虫 (著名写手)
- 应助: 0 (幼儿园)
- 金币: 4015.9
- 红花: 12
- 帖子: 1135
- 在线: 50.2小时
- 虫号: 4980143
- 注册: 2016-09-04
- 性别: GG
- 专业: 生物医用高分子材料
10楼2021-11-18 15:01:59














回复此楼
lovezhen702