| ²é¿´: 1301 | »Ø¸´: 1 | |||
µÚÒ»ÐÔС°×гæ (ÕýʽдÊÖ)
|
[½»Á÷]
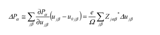
ÀûÓÃborn effective charge¼ÆË㼫»¯Ç¿¶È ÒÑÓÐ1È˲ÎÓë
|
|
²Î¿¼ÁËһƪÎÄÕÂËý¼ÆËã³öµÄ½á¹ûΪ11.02£¬µ«ÊÇÎÒʼÖÕËã²»³öÀ´Õâ¸öÊýÖµ£¬ÌåϵµÄÌå»ýΪ372.221£¬Õâ¸öµ½µ×ÊÇÔõôËãµÄѽ ·¢×ÔСľ³æIOS¿Í»§¶Ë |
» ²ÂÄãϲ»¶
321Çóµ÷¼Á
ÒѾÓÐ4È˻ظ´
×Ü·Ö322ÇóÉúÎïѧ/Éú»¯Óë·Ö×Ó/ÉúÎïÐÅϢѧÏà¹Øµ÷¼Á
ÒѾÓÐ4È˻ظ´
085600²ÄÁÏÓ뻯¹¤306
ÒѾÓÐ5È˻ظ´
265Çóµ÷¼Á
ÒѾÓÐ15È˻ظ´
»¯Ñ§¹¤³Ì085602 305·ÖÇóµ÷¼Á
ÒѾÓÐ16È˻ظ´
¿¼Ñе÷¼Á
ÒѾÓÐ8È˻ظ´
289Çóµ÷¼Á
ÒѾÓÐ17È˻ظ´
Ò»Ö¾Ô¸±±¾©»¯¹¤´óѧ²ÄÁÏÓ뻯¹¤£¨085600£©296Çóµ÷¼Á
ÒѾÓÐ9È˻ظ´
Ò»Ö¾Ô¸»ªÀí£¬ÊýÒ»Ó¢Ò»285ÇóAÇøµ÷¼Á
ÒѾÓÐ6È˻ظ´
Ò»Ö¾Ô¸ Î÷±±´óѧ ×Ü·Ö282 Ó¢ÓïÒ»62 Çóµ÷¼Á
ÒѾÓÐ7È˻ظ´
2Â¥2021-12-09 21:23:23













»Ø¸´´ËÂ¥