| 查看: 636 | 回复: 0 | ||
| 【悬赏金币】回答本帖问题,作者wujf18将赠送您 20 个金币 | ||
wujf18新虫 (小有名气)
|
[求助]
变分计算推导
|
|
|
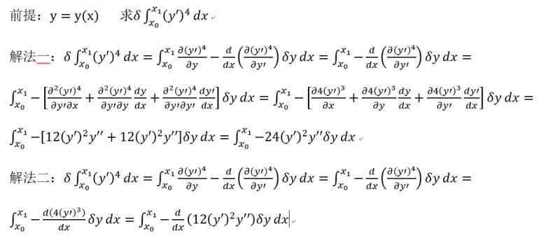
如图 想知道哪种解法是对的?另一种错哪里了 球球各位大佬帮忙解答 发自小木虫Android客户端 |
» 猜你喜欢
262求调剂
已经有5人回复
0856调剂
已经有6人回复
张芳铭-中国农业大学-环境工程专硕-298
已经有6人回复
考研生物与医药调剂
已经有3人回复
274求调剂
已经有5人回复
化学工程085602 305分求调剂
已经有26人回复
334求调剂
已经有3人回复
一志愿 南京航空航天大学 ,080500材料科学与工程学硕
已经有5人回复
看看我!301求调剂 081700
已经有3人回复
求调剂 生物学 377分
已经有3人回复















回复此楼