| 查看: 1793 | 回复: 1 | ||
| 【悬赏金币】回答本帖问题,作者11_4将赠送您 10 个金币 | ||
[求助]
origin 高斯拟合 已有1人参与
|
||
|
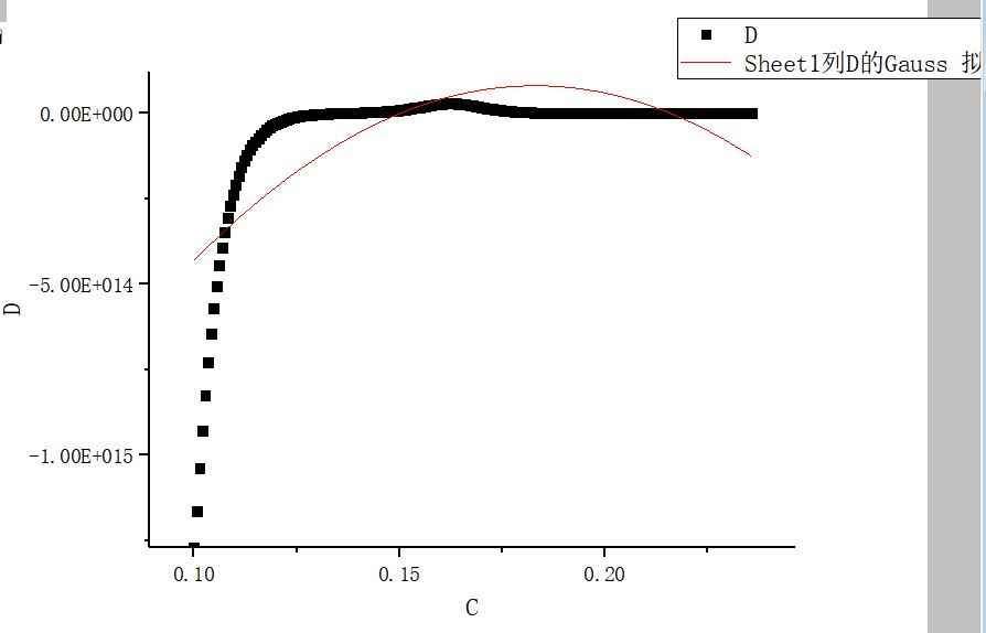
一组实验数据,纵坐标用log对数坐标显示,图形的形状比较符合高斯分布,因此想在origin中进行高斯拟合。但选取数据进行拟合后,拟合失败,数据用线性坐标表示时曲线形状也不是高斯分布,请问这是什么情况?是我拟合操作上的问题吗? 发自小木虫Android客户端 |
» 猜你喜欢
UJN物理学专业调剂
已经有12人回复
北京纳米能源与系统研究所王中林院士/曹南颖研究员课题组招收2026硕士研究生1名
已经有0人回复
物理学I论文润色/翻译怎么收费?
已经有156人回复
山西大同大学物理学硕士研究生招收调剂生
已经有0人回复
[调剂信息]211智能人工感知方向国家青年特聘专家课题组招收调剂研究生
已经有0人回复
[调剂信息]211智能人工感知方向国家青年特聘专家课题组招收调剂研究生
已经有0人回复
[调剂信息]211智能人工感知方向国家青年特聘专家课题组招收调剂研究生
已经有0人回复
一志愿物理所凝聚态物理352求调剂
已经有0人回复
0702一志愿吉大B区求调剂 本科期间发表一篇Sci
已经有2人回复
0702一志愿吉大B区求调剂 本科期间发表一篇Sci
已经有0人回复
hzlhm
至尊木虫 (著名写手)
- 应助: 387 (硕士)
- 金币: 17813.5
- 红花: 53
- 帖子: 2879
- 在线: 606.3小时
- 虫号: 1517335
- 注册: 2011-11-30
- 性别: GG
- 专业: 常微分方程与动力系统

2楼2021-10-27 20:36:09














回复此楼
5