| ²é¿´: 1325 | »Ø¸´: 1 | ||
| ¡¾ÐüÉͽð±Ò¡¿»Ø´ð±¾ÌûÎÊÌ⣬×÷ÕßÓêrain½«ÔùËÍÄú 20 ¸ö½ð±Ò | ||
Óêrainгæ (СÓÐÃûÆø)
|
[ÇóÖú]
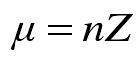
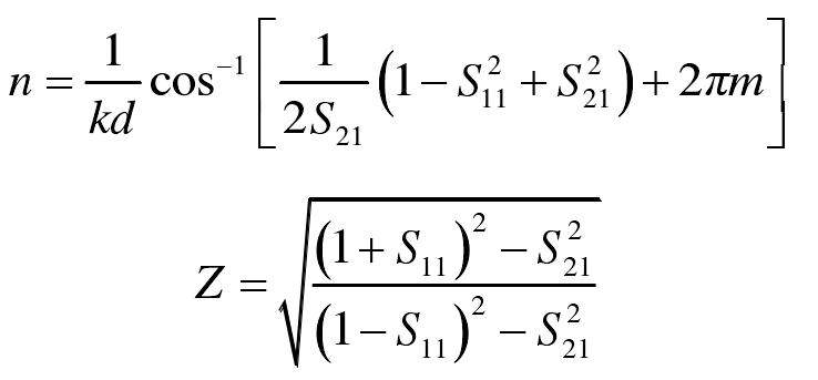
NRW·¨s²ÎÊý·´Ñݵç´Å²ÎÊý matlab
|
|
|
|
||
|
||
|
2Â¥2021-11-24 20:42:09
|
|
|














»Ø¸´´ËÂ¥