| 查看: 2683 | 回复: 6 | |||
[求助]
锂离子电池离子迁移数测试的问题 已有1人参与
|
|
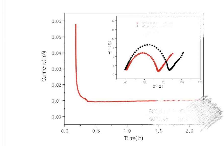
磷酸铁锂电池在测离子迁移数时,前面几秒钟电流直线下降,可能是什么原因呀?如图,求大佬帮忙解答一下 @我想更懂你29 发自小木虫Android客户端 |
» 猜你喜欢
可生物降解聚酯正在重塑现代医疗器械
已经有0人回复
26届博士申请
已经有4人回复
有机高分子材料论文润色/翻译怎么收费?
已经有63人回复
PLLA 微球在生物医学领域的研究与应用
已经有1人回复
PLLA 微球的材料特性与制备工艺解析
已经有0人回复
医用聚己内酯(PCL)全解析:从两段式降解到组织工程应用
已经有0人回复
反相硅胶如何再生?
已经有1人回复
哈尔滨理工大学2026年研究生调剂,材料科学与化学工程学院研究生调剂
已经有3人回复
武汉一本高校招收材料、化学、高分子、纺织、生物相关专业硕士生
已经有0人回复
jiagle
专家顾问 (知名作家)
-

专家经验: +5165 - ICEPI: 166
- 应助: 5678 (副教授)
- 贵宾: 2.513
- 金币: 84732.4
- 散金: 10041
- 红花: 513
- 帖子: 8620
- 在线: 1197.9小时
- 虫号: 1960227
- 注册: 2012-08-28
- 性别: GG
- 专业: 无机材料化学
- 管辖: 无机/物化
2楼2021-09-26 07:42:24
冰点降温: 屏蔽内容, 版块发帖禁止留个人联系方式 2021-10-27 22:18:51
|
本帖内容被屏蔽 |
3楼2021-10-25 22:38:53
4楼2021-10-25 22:40:34
5楼2021-12-05 20:16:41
6楼2022-01-18 22:20:11
7楼2022-01-27 14:00:37













回复此楼