| 查看: 728 | 回复: 0 | ||
| 【悬赏金币】回答本帖问题,作者lambs将赠送您 10 个金币 | ||
[求助]
风振系数推导
|
||
|
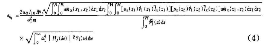
《建筑结构荷载规范GB5009-2012》中顺风向风振系数的条文说明中给出的一阶广义位移均方根具体是怎么得来的? @mygt_hit 发自小木虫Android客户端 |
» 猜你喜欢
体制内长辈说体制内绝大部分一辈子在底层,如同你们一样大部分普通教师忙且收入低
已经有18人回复
面上可以超过30页吧?
已经有7人回复
网上报道青年教师午睡中猝死、熬夜猝死的越来越多,主要哪些原因引起的?
已经有5人回复
“人文社科而论,许多学术研究还没有达到民国时期的水平”
已经有6人回复
版面费该交吗
已经有13人回复
为什么中国大学工科教授们水了那么多所谓的顶会顶刊,但还是做不出宇树机器人?
已经有10人回复
什么是人一生最重要的?
已经有4人回复













回复此楼