| 查看: 853 | 回复: 4 | ||
| 【悬赏金币】回答本帖问题,作者lpfycbx将赠送您 20 个金币 | ||
lpfycbx铜虫 (正式写手)
|
[求助]
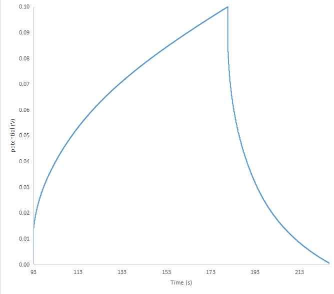
请问大家有知道这个充放电曲线为什么这么弯吗? 已有1人参与
|
|
|
测试充放电曲线的结果这个很弯,请问有没有大神能够解决一下这个问题呀? 发自小木虫Android客户端 |
» 猜你喜欢
湖南农业大学能源材料创新团队招收2025化学专业研究生(学硕)调剂
已经有0人回复
2026年西华大学材料学院-材料近净成形与表面技术研究团队-招收调剂研究生
已经有9人回复
分析化学论文润色/翻译怎么收费?
已经有181人回复
调剂信息
已经有0人回复
华南理工0703化学,总分336求调剂
已经有11人回复
河北农大生物与医药专业招收调剂,名额充足
已经有0人回复
齐鲁工业大学 国家重点实验室-新能源、锂离子电池、材料、化学方向
已经有0人回复
一志愿前4位代码0703均可报名-河北大学分析化学专业招收调剂考生
已经有57人回复
★★爆★★0860生物与医药调剂考生看过来,河北大学化学与材料科学学院
已经有85人回复
杰青/长江团队招收调剂
已经有0人回复
中南林业科技大学罗勇锋教授团队2026年招收材料类调剂研究生
已经有0人回复
lpfycbx
铜虫 (正式写手)
- 应助: 0 (幼儿园)
- 金币: 51.6
- 散金: 33
- 帖子: 331
- 在线: 25小时
- 虫号: 5434126
- 注册: 2017-01-02
- 性别: GG
- 专业: 电化学
2楼2021-09-13 09:33:17
3楼2021-09-16 01:05:41
_xmg
木虫 (正式写手)
- 应助: 207 (大学生)
- 金币: 3655.9
- 散金: 21
- 红花: 8
- 帖子: 629
- 在线: 1114.1小时
- 虫号: 1920373
- 注册: 2012-08-01
- 性别: GG
- 专业: 电化学
4楼2021-09-18 09:30:14
5楼2021-09-21 22:39:43














回复此楼