| 查看: 426 | 回复: 0 | |||
齐国小药童木虫 (著名写手)
|
[交流]
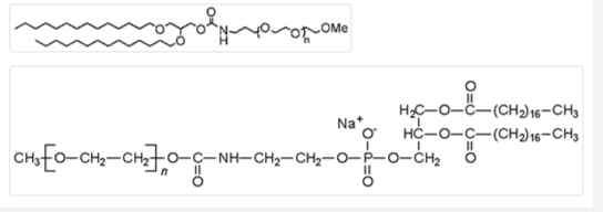
请问这两个分子降解的难易?
|
|
是第二个分子难讲解么? 发自小木虫Android客户端 |
» 猜你喜欢
291求调剂
已经有7人回复
材料与化工272求调剂
已经有13人回复
283求调剂(080500)
已经有5人回复
材料科学与工程求调剂
已经有5人回复
一志愿北京化工大学材料与化工(085600)296求调剂
已经有17人回复
考研调剂
已经有7人回复
343求调剂085601
已经有3人回复
08工科求调剂286
已经有3人回复
337求调剂
已经有3人回复
329求调剂,一志愿西北工业大学,材料工程(085601)
已经有10人回复
» 本主题相关商家推荐: (我也要在这里推广)















回复此楼
10