| ²é¿´: 2482 | »Ø¸´: 4 | ||
| ¡¾ÐüÉͽð±Ò¡¿»Ø´ð±¾ÌûÎÊÌ⣬×÷ÕßêÉÑôÃù½«ÔùËÍÄú 10 ¸ö½ð±Ò | ||
êÉÑôÃùͳæ (³õÈëÎÄ̳)
|
[ÇóÖú]
µÍÈ۵㲣Á§·ÛDSCÎÊÌâÇë½Ì¸÷λ´óÀÐ ÒÑÓÐ2È˲ÎÓë
|
|
|
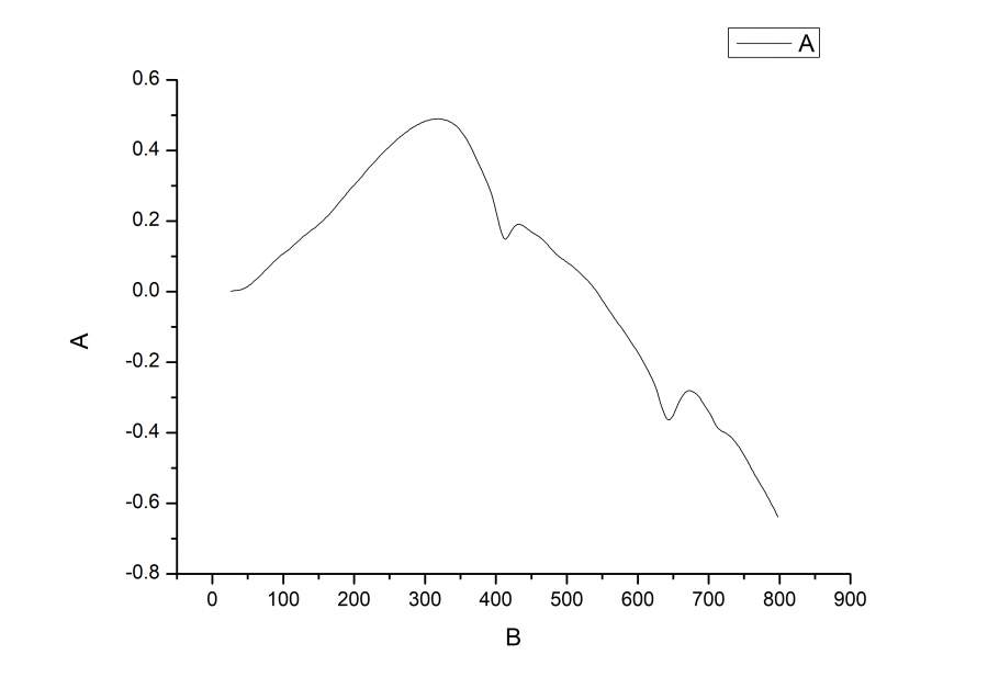
Èçͼ£¬³§¼Ò¸ø³öµÄÊý¾Ý³õʼÈÛÈÚζÈ350¡æ£¬ÎªºÎDSC³öÀ´ÊÇ·ÅÈÈ·åÄØ?²âµÃTGÊÇÒ»ÌõÖ±Ïߣ¬Ã»Óб仯¡£Çó´óÀнâ´ð ²£Á§·ÛDSC.jpg 1.png |
» ²ÂÄãϲ»¶
322Çóµ÷¼Á£¬08¹¤¿Æ
ÒѾÓÐ4È˻ظ´
²ÄÁϹ¤³Ì281»¹Óе÷¼Á»ú»áÂð
ÒѾÓÐ30È˻ظ´
»¯Ñ§070300 Çóµ÷¼Á
ÒѾÓÐ16È˻ظ´
»¯¹¤Ñ§Ë¶294·Ö£¬Çóµ¼Ê¦ÊÕÁô
ÒѾÓÐ12È˻ظ´
Ò»Ö¾Ô¸¹þ¹¤´ó 085600 277 12²Ä¿Æ»ùÇóµ÷¼Á
ÒѾÓÐ32È˻ظ´
268·Ö085602»¯Ñ§¹¤³Ìµ÷¼Á
ÒѾÓÐ31È˻ظ´
Ò»Ö¾Ô¸°²´óÉúÎïѧ07³õÊÔ322¡¢±¾¿Æ¶þ±¾¡¢µ÷¼ÁÇóÖú
ÒѾÓÐ11È˻ظ´
ʳƷÓëÓªÑø£¨0955£©271Çóµ÷¼Á
ÒѾÓÐ7È˻ظ´
085600²ÄÁÏÓ뻯¹¤349·ÖÇóµ÷¼Á
ÒѾÓÐ9È˻ظ´
Ò»Ö¾Ô¸ÖÐÄÏ´óѧ 0855 »úе 286 Çóµ÷¼Á
ÒѾÓÐ10È˻ظ´
13813921817
ľ³æÖ®Íõ (ÎÄ̳¾«Ó¢)
ÉÏÉÆÈôË®£¬ÀûÍòÎï¶ø²»Õù
- Ó¦Öú: 8542 (½ÌÊÚ)
- ½ð±Ò: 58505.9
- É¢½ð: 352
- ºì»¨: 499
- Ìû×Ó: 11403
- ÔÚÏß: 1126.1Сʱ
- ³æºÅ: 3562708
- ×¢²á: 2014-11-27
- ÐÔ±ð: GG
- רҵ: ¸ß·Ö×ÓÖú¼Á
2Â¥2021-08-19 15:41:07
êÉÑôÃù
ͳæ (³õÈëÎÄ̳)
- Ó¦Öú: 0 (Ó×¶ùÔ°)
- ½ð±Ò: 3.7
- Ìû×Ó: 33
- ÔÚÏß: 42.4Сʱ
- ³æºÅ: 4835923
- ×¢²á: 2016-07-12
- רҵ: Ï𽺼°µ¯ÐÔÌå
3Â¥2021-08-20 11:59:58
ѧԱrwV1GP
гæ (³õÈëÎÄ̳)
- Ó¦Öú: 1 (Ó×¶ùÔ°)
- ½ð±Ò: 57.1
- Ìû×Ó: 48
- ÔÚÏß: 2.6Сʱ
- ³æºÅ: 26907271
- ×¢²á: 2021-07-30
- רҵ: ÈÈÎïÐÔÓëÈÈÎïÀí²âÊÔ¼¼Êõ
¡¾´ð°¸¡¿Ó¦Öú»ØÌû
|
Õâ¸öÇúÏßÓеãÀ¬»øÑ½£¬¶øÇÒÕâ¸öͼ¹À¼Æ»¹ÊǺóÆÚÄÃorigin×öµÄ°É£¬dscÇúÏß¹ú¼ÊÉÏϰ¹ßÏòÉÏΪÎüÈÈ£¬ÏòÏÂΪ·ÅÈÈ£¬»ùÏß²»»áÓ°Ïì·åÖµµÄλÖ㬲»×öµÄ»°Ö»ÊÇÇúÏßÄÑ¿´Ã»ÄÇôƽ»¬¶øÒÑ£¬Èç¹ûͼûÎÊÌâµÄ»°£¬µ±ÇúÏßϽµµÍÓÚ³õʼֵµÃʱºò£¬Õâ²Å²ÄÁÏÅÂÊÇÒѾ·Ö½âÁË£¬ËùÒÔÄãµÄÎʳ§¼ÒÄãµÄÉ豸µ½µ×Ðв»ÐУ¬ÊDz»ÊÇÆÛ¸ºÄã²»¶®dsc ·¢×ÔСľ³æAndroid¿Í»§¶Ë |
4Â¥2021-09-13 23:18:28
ѧԱrwV1GP
гæ (³õÈëÎÄ̳)
- Ó¦Öú: 1 (Ó×¶ùÔ°)
- ½ð±Ò: 57.1
- Ìû×Ó: 48
- ÔÚÏß: 2.6Сʱ
- ³æºÅ: 26907271
- ×¢²á: 2021-07-30
- רҵ: ÈÈÎïÐÔÓëÈÈÎïÀí²âÊÔ¼¼Êõ
|
Õâͼ´ÓÒ»¿ªÊ¼¾ÍÇúÏß¾ÍÉÏÉý£¬Òâ˼ÊÇÒ»¼ÓÈȾÍÂíÉÏ¿ªÊ¼ÈÛÈÚ£¿£¿£¿ËäÈ»ÈÛÈÚÊǸö¹ý³Ì£¬µ«ÊÇÕâ¸ö¹ý³ÌµÄÆðµãÓеãµÍѽ£¬ËùÒԿ϶¨ÊÇͼÓÐÎÊÌâ ·¢×ÔСľ³æAndroid¿Í»§¶Ë |
5Â¥2021-09-13 23:21:07













»Ø¸´´ËÂ¥