²é¿´: 515  |  »Ø¸´: 0
¡¾ÐüÉͽð±Ò¡¿»Ø´ð±¾ÌûÎÊÌ⣬×÷Õß5449451555½«ÔùËÍÄú 100 ¸ö½ð±Ò

5449451555

гæ (СÓÐÃûÆø)

[ÇóÖú] ¡¾ÇóÖú¡¿ÀëÉ¢»¯ÎÊÌâÇó½âÎÊÌâ

ÎÄÏ×Ô­ÎÄÈçÏ£º
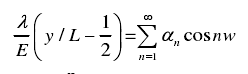
choose a suitable interval for w, at least 50 steps in the present work, and evaluate the bracketed term on the right- hand side of (13). This function of the velocity distributions and the resistance variation is denoted by G(w)
ÏÖÒª½«wÀëÉ¢»¯½øÐз½³ÌµÄÇó½â£¬ÒÔ½«µÈʽÓҲ༶ÊýÏî¼´£ºG£¨w£©½â³ö£¬²¢ÇóµÃ°¢¶û·¨nµÄ¾ßÌåÖµ¡£·½³Ì×ó²à³ýyÒÔÍâ¾ùÊÓ×÷ÒÑÖª³£Êý¡£
²½ÊýÒªÇóÖÁÉÙ50²½£¬wÇø¼äΪ0-¦Ð¡£
ÇëÎÊÈçºÎÇó½â¡£

¡¾ÇóÖú¡¿ÀëÉ¢»¯ÎÊÌâÇó½âÎÊÌâ
@DCNF(JK3IKPU0UFTMU`AYM.png
»Ø¸´´ËÂ¥

» ²ÂÄãϲ»¶

ÒÑÔÄ   »Ø¸´´ËÂ¥   ¹Ø×¢TA ¸øTA·¢ÏûÏ¢ ËÍTAºì»¨ TAµÄ»ØÌû
Ïà¹Ø°æ¿éÌø×ª ÎÒÒª¶©ÔÄÂ¥Ö÷ 5449451555 µÄÖ÷Ìâ¸üÐÂ
²»Ó¦Öú È·¶¨»ØÌûÓ¦Öú (×¢Ò⣺ӦÖú²Å¿ÉÄܱ»½±Àø£¬µ«²»ÔÊÐí¹àË®£¬±ØÐëÌîд15¸ö×Ö·ûÒÔÉÏ)
×î¾ßÈËÆøÈÈÌûÍÆ¼ö [²é¿´È«²¿] ×÷Õß »Ø/¿´ ×îºó·¢±í
[¿¼ÑÐ] ³õÊÔ 317 +3 °ëÀ­Ô±û 2026-03-20 3/150 2026-03-21 13:25 by zhukairuo
[¿¼ÑÐ] 330Çóµ÷¼Á0854 +3 assdll 2026-03-21 3/150 2026-03-21 13:01 by ²«»÷518
[¿¼ÑÐ] 310Çóµ÷¼Á +3 baibai1314 2026-03-16 3/150 2026-03-21 03:56 by JourneyLucky
[¿¼ÑÐ] Ò»Ö¾Ô¸ÖйúʯÓÍ´óѧ£¨»ª¶«£© ±¾¿ÆÆë³¹¤Òµ´óѧ +3 ʯÄÜΰ 2026-03-17 3/150 2026-03-21 02:22 by JourneyLucky
[¿¼ÑÐ] 307Çóµ÷¼Á +10 ÀäóÏ123 2026-03-17 10/500 2026-03-21 01:54 by JourneyLucky
[¿¼ÑÐ] Ò»Ö¾Ô¸ Î÷±±´óѧ £¬070300»¯Ñ§Ñ§Ë¶£¬×Ü·Ö287£¬Ë«·ÇÒ»±¾£¬Çóµ÷¼Á¡£ +3 ³¿»èÏßÓëÐǺ£ 2026-03-18 3/150 2026-03-21 00:46 by JourneyLucky
[¿¼ÑÐ] Ò»Ö¾Ô¸Î÷ÄϽ»´ó£¬Çóµ÷¼Á +5 ²Ä»¯ÖðÃÎÈË 2026-03-18 5/250 2026-03-21 00:26 by JourneyLucky
[¿¼ÑÐ] 311Çóµ÷¼Á +5 ¶¬Ê®Èý 2026-03-18 5/250 2026-03-21 00:16 by JourneyLucky
[¿¼ÑÐ] 308Çóµ÷¼Á +3 °¢½ã°¢½ã¼Ò°¡ 2026-03-18 3/150 2026-03-20 23:24 by JourneyLucky
[¿¼ÑÐ] 304Çóµ÷¼Á +7 ˾¿Õ. 2026-03-18 7/350 2026-03-20 23:08 by JourneyLucky
[¿¼ÑÐ] 295²ÄÁÏÇóµ÷¼Á£¬Ò»Ö¾Ô¸Î人Àí¹¤085601ר˶ +5 Charlieyq 2026-03-19 5/250 2026-03-20 20:35 by JourneyLucky
[¿¼ÑÐ] ²ÄÁÏÓ뻯¹¤×¨Ë¶µ÷¼Á +7 heming3743 2026-03-16 7/350 2026-03-20 19:31 by zhukairuo
[¿¼ÑÐ] Ò»Ö¾Ô¸ÄÏÀí¹¤085701»·¾³302Çóµ÷¼ÁԺУ +3 ¿ûè÷ÎÀ¶Ó 2026-03-20 3/150 2026-03-20 19:28 by zhukairuo
[¿¼ÑÐ] ¹ãÎ÷´óѧ¼ÒÇÝÒÅ´«ÓýÖÖ¿ÎÌâ×é2026Äê˶ʿÕÐÉú£¨½ÓÊÕ¼ÆËã»úרҵµ÷¼Á£© +3 123°¢±ê 2026-03-17 3/150 2026-03-20 15:58 by ·ÉÐÐçù
[¿¼ÑÐ] ²ÄÁÏ£¬·ÄÖ¯£¬ÉúÎ0856¡¢0710£©£¬»¯Ñ§ÕÐÉúÀ² +3 Eember. 2026-03-17 9/450 2026-03-18 10:28 by Eember.
[¿¼ÑÐ] ¿¼ÑÐÇóµ÷¼Á +3 éÙËÌ. 2026-03-17 4/200 2026-03-17 21:43 by ÓÐÖ»ÀêÅ«
[¿¼ÑÐ] 283Çóµ÷¼Á +3 Ìý·ç¾ÍÊÇÓꣻ 2026-03-16 3/150 2026-03-17 07:41 by ÈÈÇéɳĮ
[¿¼ÑÐ] 326Çóµ÷¼Á +4 ŵ±´¶û»¯Ñ§½±êéê 2026-03-15 7/350 2026-03-16 17:11 by ŵ±´¶û»¯Ñ§½±êéê
[¿¼ÑÐ] Ò»Ö¾Ô¸211 0703·½Ïò310·ÖÇóµ÷¼Á +3 ŬÁ¦·Ü¶·112 2026-03-15 3/150 2026-03-16 16:44 by houyaoxu
[¿¼ÑÐ] 321Çóµ÷¼Á +5 ´óÃ×·¹£¡ 2026-03-15 5/250 2026-03-16 16:33 by houyaoxu
ÐÅÏ¢Ìáʾ
ÇëÌî´¦ÀíÒâ¼û