| 查看: 736 | 回复: 3 | ||
| 【悬赏金币】回答本帖问题,作者野路将赠送您 10 个金币 | ||
[求助]
EDMA计算已有1人参与
|
||
|
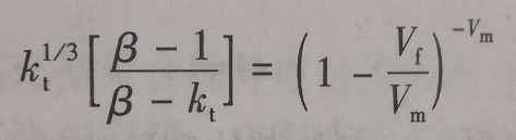
导热计算利用EDMA方程计算,这个方程是怎么画出来的呢 发自小木虫Android客户端 |
» 猜你喜欢
求2026年在台湾举行的物理和材料领域国际学术会议信息
已经有0人回复
求国际会议网站
已经有1人回复
物理学I论文润色/翻译怎么收费?
已经有166人回复
求取一些关于纳米材料和纳米技术相关的英文PPT。
已经有0人回复
【复旦大学】二维材料方向招收2026年博士研究生1名
已经有0人回复
北京纳米能源与系统研究所 王中林院士/曹南颖研究员课题组2026级硕/博/博后招生
已经有10人回复
荷兰Utrecht University超快太赫兹光谱王海教授课题招收2026 CSC博士生
已经有19人回复
反铁磁体中的磁性切换:两种不同的机制已成功可视化
已经有0人回复
26申博推荐:南京航空航天大学国际前沿院光学方向招收博士生!
已经有0人回复
求标准粉末衍射卡号 ICDD 01-076-1802
已经有0人回复
2楼2021-08-12 20:33:01
hzlhm
至尊木虫 (著名写手)
- 应助: 387 (硕士)
- 金币: 18111.5
- 红花: 53
- 帖子: 2879
- 在线: 603.7小时
- 虫号: 1517335
- 注册: 2011-11-30
- 性别: GG
- 专业: 常微分方程与动力系统

3楼2021-08-13 06:50:17
4楼2021-08-13 16:15:37













回复此楼