±±¾©Ê¯ÓÍ»¯¹¤Ñ§Ôº2026ÄêÑо¿ÉúÕÐÉú½ÓÊÕµ÷¼Á¹«¸æ
²é¿´: 850  |  »Ø¸´: 4

ZZTTÀ²À²À²

гæ (³õÈëÎÄ̳)


ÒÑÁìÍê
µ¥ÑùºÍ¸´ºÏÑùµÄÑ­»··ü°²ÇúÏßCV·åÆ«ÒÆÇÒµçѹ´°¿Ú²»Ò»Ñù
ÁìÈ¡ºì°ü (Сľ³æÊÖ»úappרÊôºì°ü)

ɨһɨ£¬ÏÂÔØÐ¡Ä¾³æ¿Í»§¶Ë

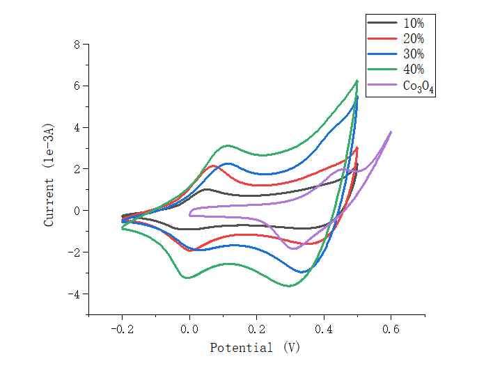
ÇóÖú¡£×öµÄËÄÑõ»¯ÈýîÜ£¬Óë·Ö×Óɸ¸´ºÏºó£¬cv·åÆ«ÒÆºÜ¶à£¬ÐÎ×´Ò²²îºÜ¶à£¬×îÖ÷ÒªµÄÊǵçѹ´°¿ÚÒ²²»Ò»ÖÂÁË£¬¸´ºÏÑùÊÇ-0.2-0.5£¬µ¥ÑùÊÇ0-0.6£¬ÇóÖúÓ¦¸ÃÔõô·ÖÎöÄØ£¿¸´ºÏÑùÊÇ·ñ±Èµ¥ÑùºÃ£¬ÓÐ×öÏÂÈ¥µÄ±ØÒªÂð£¿ÓÃÀ´×öMFCµç¼«²ÄÁϵġ£
ͼһºÍͼ¶þÊÇÓÃÁ½¸ö²»Í¬µÄ·½·¨×öµÄ¡£Í¼¶þÊDz»Í¬¸ºÔØÁ¿µÄ¸´ºÏÑù¶Ô±Èµ¥Ñù¡£

µ¥ÑùºÍ¸´ºÏÑùµÄÑ­»··ü°²ÇúÏßCV·åÆ«ÒÆÇÒµçѹ´°¿Ú²»Ò»Ñù


µ¥ÑùºÍ¸´ºÏÑùµÄÑ­»··ü°²ÇúÏßCV·åÆ«ÒÆÇÒµçѹ´°¿Ú²»Ò»Ñù-1


·¢×ÔСľ³æAndroid¿Í»§¶Ë
»Ø¸´´ËÂ¥

» ²ÂÄãϲ»¶

» ±¾Ö÷ÌâÏà¹ØÉ̼ÒÍÆ¼ö: (ÎÒÒ²ÒªÔÚÕâÀïÍÆ¹ã)

» ÇÀ½ð±ÒÀ²£¡»ØÌû¾Í¿ÉÒԵõ½:

²é¿´È«²¿É¢½ðÌù

ÒÑÔÄ   »Ø¸´´ËÂ¥   ¹Ø×¢TA ¸øTA·¢ÏûÏ¢ ËÍTAºì»¨ TAµÄ»ØÌû
¼òµ¥»Ø¸´
2021-08-12 10:37   »Ø¸´  
ZZTTÀ²À²À²(½ð±Ò+5): лл²ÎÓë
ÒÑ»ñµÃ5¸ö½ð±Ò ·¢×ÔСľ³æAndroid¿Í»§¶Ë
2021-08-12 10:38   »Ø¸´  
ZZTTÀ²À²À²(½ð±Ò+2): лл²ÎÓë
ÒÑ»ñµÃ2¸ö½ð±Ò ·¢×ÔСľ³æAndroid¿Í»§¶Ë
tzynew4Â¥
2021-08-12 10:40   »Ø¸´  
ZZTTÀ²À²À²(½ð±Ò+1): лл²ÎÓë
ÒÑ»ñµÃ1¸ö½ð±Ò ·¢×ÔСľ³æAndroid¿Í»§¶Ë
2021-08-12 10:40   »Ø¸´  
ZZTTÀ²À²À²(½ð±Ò+2): лл²ÎÓë
ÒÑ»ñµÃ2¸ö½ð±Ò ·¢×ÔСľ³æAndroid¿Í»§¶Ë
Ïà¹Ø°æ¿éÌø×ª ÎÒÒª¶©ÔÄÂ¥Ö÷ ZZTTÀ²À²À² µÄÖ÷Ìâ¸üÐÂ
×î¾ßÈËÆøÈÈÌûÍÆ¼ö [²é¿´È«²¿] ×÷Õß »Ø/¿´ ×îºó·¢±í
[¿¼ÑÐ] 284Çóµ÷¼Á +5 èó@@ 2026-04-06 5/250 2026-04-06 17:59 by Öí»á·É
[¿¼ÑÐ] Ò»Ö¾Ô¸±±¾©2£¬²ÄÁÏÓ뻯¹¤308Çóµ÷¼Á +12 ÐܶþÏëÉϰ¶ 2026-04-04 13/650 2026-04-06 17:47 by lijunpoly
[¿¼ÑÐ] 0854Çóµ÷¼Á +7 ºàÊÏ·¬ÇÑɳ˾ 2026-04-06 8/400 2026-04-06 17:27 by ÍÁľ˶ʿÕÐÉú
[¿¼ÑÐ] 22408 331·ÖÇóµ÷¼Á +4 y__1 2026-04-06 4/200 2026-04-06 17:26 by ÍÁľ˶ʿÕÐÉú
[¿¼ÑÐ] ¹¤¿Æ 22408 267ÇóÍÆ¼ö +3 wanwan00 2026-04-05 4/200 2026-04-06 15:36 by lin-da
[¿¼ÑÐ] Çóµ÷¼Á +11 xzghyuj 2026-04-04 11/550 2026-04-06 11:49 by lijunpoly
[¿¼ÑÐ] 319·Ö085702°²È«¹¤³ÌÇóµ÷¼Á +4 rious 2026-04-05 4/200 2026-04-06 11:08 by ¾²¾²¾²¾²¾²¾²¾²¾
[¿¼ÑÐ] 292Çóµ÷¼Á +3 lilllllxccc 2026-04-05 4/200 2026-04-06 10:39 by À¶ÔÆË¼Óê
[¿¼ÑÐ] ÉúÎïÓëÒ½Ò©273Çóµ÷¼Á +7 ÀóÌâÄÏǽ 2026-04-05 7/350 2026-04-06 09:26 by 286640313
[¿¼ÑÐ] 301Çóµ÷¼Á +6 ϸ°ûÏà¹Øµ°°× 2026-04-02 10/500 2026-04-06 08:34 by jp9609
[¿¼ÑÐ] 308Çóµ÷¼Á +3 ÖÕ²»ËÆ´Óǰ 2026-04-05 3/150 2026-04-05 20:07 by à£à£à£0119
[¿¼ÑÐ] 322Çóµ÷¼Á +3 àźߺߺã 2026-04-05 3/150 2026-04-05 19:52 by nepu_uu
[¿¼ÑÐ] Ò»Ö¾Ô¸»ªÖÐũҵ´óѧ0710£¨A£©³õÊÔ329·Ö Çóµ÷¼Á +4 Ò»Ãû26¿¼ÑÐÉú 2026-04-04 4/200 2026-04-05 10:01 by barlinike
[¿¼ÑÐ] 085400µç×ÓÐÅÏ¢319Çóµ÷¼Á£¨½ÓÊÜ¿çרҵµ÷¼Á£© +5 ÐÇÐDz»Õ£ÑÛà¶ 2026-04-03 6/300 2026-04-04 21:50 by hemengdong
[¿¼ÑÐ] 0703Çóµ÷¼Á +6 zizimo 2026-03-31 6/300 2026-04-04 14:16 by Î޼ʵIJÝÔ­
[¿¼ÑÐ] 301Çóµ÷¼Á +14 A_JiXing 2026-04-01 14/700 2026-04-03 18:31 by lsÁõ˧
[¿¼ÑÐ] 372·Ö²ÄÁÏÓ뻯¹¤£¨085600£©Ò»Ö¾Ô¸ºþÄÏ´óѧÇóµ÷¼Á +3 À¶¼ãƬ 2026-04-03 4/200 2026-04-03 17:58 by Jimmyandyou
[¿¼ÑÐ] Çóµ÷¼Á»ú»á +5 ÒâȾivy 2026-04-03 5/250 2026-04-03 15:13 by qoooooo614
[¿¼ÑÐ] Ò»Ö¾Ô¸±±¾©¿Æ¼¼´óѧ²ÄÁÏѧ˶328·ÖÇóµ÷¼Á +6 1¶Îʱ¼ä 2026-03-31 7/350 2026-04-02 13:57 by 3041
[¿¼ÑÐ] ¿¼Ñе÷¼ÁÇóÖú +7 13287130938 2026-03-31 7/350 2026-03-31 16:39 by 690616278
ÐÅÏ¢Ìáʾ
ÇëÌî´¦ÀíÒâ¼û