| 查看: 604 | 回复: 0 | ||
| 【悬赏金币】回答本帖问题,作者呼啦啦1207将赠送您 5 个金币 | ||
[求助]
石墨烯能带计算
|
||
|
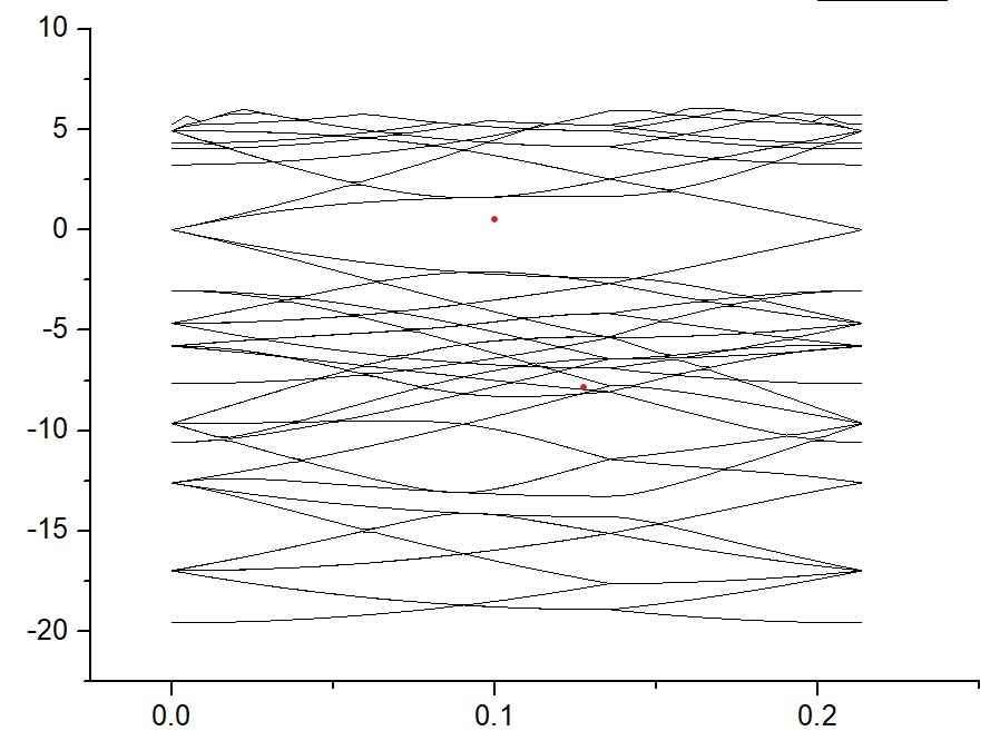
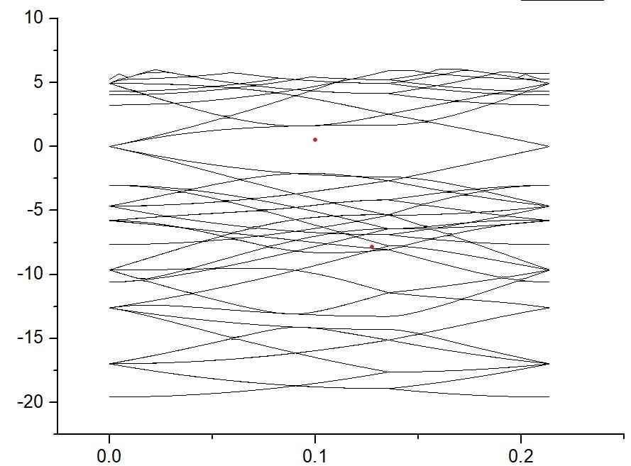
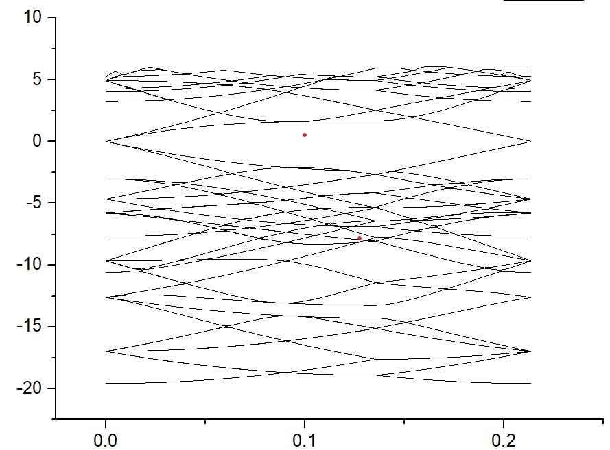
为什么我计算出来的能带结构图是这个样子的?不在0处,k点处相交,文献中的图也附上 1.自洽计算 得到CHG, CHGCHA 2.能带计算 通过syml,gk.x得到kpoints,附上syml,kpoints,incar 再进行能带计算 3.通过syml,EIGENVAL ,pbnd.x得到bnd.dat和highk.dat 发自小木虫Android客户端 |
» 猜你喜欢
孩子确诊有中度注意力缺陷
已经有12人回复
2025冷门绝学什么时候出结果
已经有3人回复
天津工业大学郑柳春团队欢迎化学化工、高分子化学或有机合成方向的博士生和硕士生加入
已经有4人回复
康复大学泰山学者周祺惠团队招收博士研究生
已经有6人回复
AI论文写作工具:是科研加速器还是学术作弊器?
已经有3人回复
2026博士申请-功能高分子,水凝胶方向
已经有6人回复
论文投稿,期刊推荐
已经有4人回复
硕士和导师闹得不愉快
已经有13人回复
请问2026国家基金面上项目会启动申2停1吗
已经有5人回复
同一篇文章,用不同账号投稿对编辑决定是否送审有没有影响?
已经有3人回复














回复此楼