| 查看: 1021 | 回复: 3 | ||
| 【悬赏金币】回答本帖问题,作者1061093906将赠送您 5 个金币 | ||
[求助]
电化学测试
|
||
|
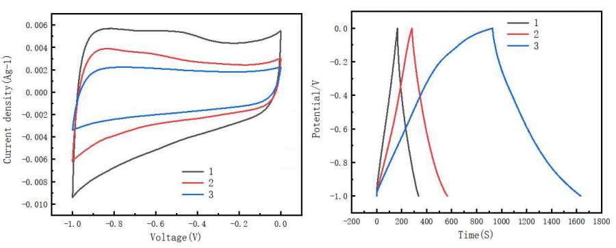
请问为什么我的CV曲线(扫描速率均为0.01V/S)和GCD曲线(电流密度均为0.5A/g)趋势不一样呢,比如CV曲线中1面积最大,比电容应该也是最大,但是在充放电曲线中,3号的比电容才是最大的,请师兄师姐们帮我看一下 @VIMPILE @langzhizhou @louderbe 发自小木虫Android客户端 |
» 猜你喜欢
杰青/长江团队招收硕士调剂
已经有5人回复
青岛大学化学化工学院2026年招收调剂硕士研究生
已经有0人回复
物理化学论文润色/翻译怎么收费?
已经有51人回复
材料科学与工程 或 材料与化工(专硕)调剂 要求:初试考408
已经有0人回复
298分 070300求调剂
已经有11人回复
湖南大学张世国团队招26年第二批博士—离子液体、高分子与凝胶材料
已经有0人回复
湖南农业大学能源材料创新团队招收2025化学专业研究生(学硕)调剂
已经有0人回复
2026年西华大学材料学院-材料近净成形与表面技术研究团队-招收调剂研究生
已经有7人回复
调剂信息
已经有0人回复
华南理工0703化学,总分336求调剂
已经有1人回复
河北农大生物与医药专业招收调剂,名额充足
已经有0人回复
2楼2021-07-17 16:12:24
3楼2021-07-18 15:39:49
4楼2023-05-09 16:58:23














回复此楼