| 查看: 455 | 回复: 1 | ||
| 【悬赏金币】回答本帖问题,作者小兰陵将赠送您 5 个金币 | ||
[求助]
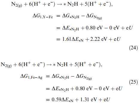
请问电化学合成氨的火山图
|
||
|
最近在看电化学合成氨的计算的论文,有一部分我看了好久还是不明白,这个火山图是怎么的出来的,还有这个计算,这个自由能又是怎么得出来的,谢谢大家了 @Gamry-电化学 发自小木虫Android客户端 |
» 猜你喜欢
锂离子电池循环寿命衰减过快,求机理分析与改进思路
已经有2人回复
求博导收留
已经有6人回复
物理化学论文润色/翻译怎么收费?
已经有99人回复
CSC & MSCA 博洛尼亚大学能源材料课题组博士/博士后招生|MSCA经费充足、排名优
已经有6人回复
德国Karlsruhe Institute of Technology招收电化学储能及联合培养CSC博士等
已经有20人回复
德国Karlsruhe Institute of Technology招收电化学储能及联合培养CSC博士
已经有23人回复
德国Karlsruhe Institute of Technology招收电化学储能及联合培养CSC博士
已经有1人回复
固态锂金属电池迁移数计算求助
已经有1人回复
荷兰奈梅亨大学赵文博与Galimberti课题组招收理论计算CSC博士 2000 欧元/月+房补
已经有0人回复
26储能博士申请自荐
已经有22人回复
上海交通大学--宁波东方理工大学电池方向博士招生
已经有6人回复
2楼2021-07-06 16:26:31













回复此楼