| 查看: 1534 | 回复: 4 | ||
| 【悬赏金币】回答本帖问题,作者jsbclzm将赠送您 5 个金币 | ||
jsbclzm新虫 (初入文坛)
|
[求助]
钙钛矿结构催化剂ORR中的LSV曲线 已有1人参与
|
|
|
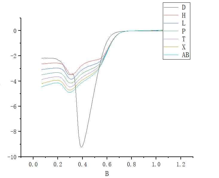
在低电势时,出现向下的峰,不知道是什么原因。 10mg催化剂+10mg导电碳+100nafion+1000酒精,取5微升滴在4mm直径的盘电极上 氧气测试前保持25ml/min左右通入0.1mol/l的KOH溶液中,测试中在液面上方通氧气。 测试参数:0.2- -0.9,10mv/s 图上依次是225r,400r,625r,900r,1225r,1600r,2025r |
» 猜你喜欢
湖南农业大学能源材料创新团队招收2025化学专业研究生(学硕)调剂
已经有0人回复
2026年西华大学材料学院-材料近净成形与表面技术研究团队-招收调剂研究生
已经有9人回复
物理化学论文润色/翻译怎么收费?
已经有83人回复
调剂信息
已经有0人回复
华南理工0703化学,总分336求调剂
已经有11人回复
河北农大生物与医药专业招收调剂,名额充足
已经有0人回复
齐鲁工业大学 国家重点实验室-新能源、锂离子电池、材料、化学方向
已经有0人回复
一志愿前4位代码0703均可报名-河北大学分析化学专业招收调剂考生
已经有57人回复
★★爆★★0860生物与医药调剂考生看过来,河北大学化学与材料科学学院
已经有85人回复
杰青/长江团队招收调剂
已经有0人回复
中南林业科技大学罗勇锋教授团队2026年招收材料类调剂研究生
已经有0人回复
jsbclzm
新虫 (初入文坛)
- 应助: 0 (幼儿园)
- 金币: 5.8
- 帖子: 24
- 在线: 18.7小时
- 虫号: 9617210
- 注册: 2018-07-25
- 性别: GG
- 专业: 无机非金属类电介质与电解
2楼2021-07-01 16:59:25
电化学ZCZ
木虫 (小有名气)
- 应助: 5 (幼儿园)
- 金币: 3150.7
- 散金: 172
- 帖子: 158
- 在线: 9小时
- 虫号: 26546390
- 注册: 2021-06-06
- 性别: GG
- 专业: 电化学分析
3楼2021-07-05 09:20:25
jsbclzm
新虫 (初入文坛)
- 应助: 0 (幼儿园)
- 金币: 5.8
- 帖子: 24
- 在线: 18.7小时
- 虫号: 9617210
- 注册: 2018-07-25
- 性别: GG
- 专业: 无机非金属类电介质与电解
4楼2021-07-05 10:43:07
电化学ZCZ
木虫 (小有名气)
- 应助: 5 (幼儿园)
- 金币: 3150.7
- 散金: 172
- 帖子: 158
- 在线: 9小时
- 虫号: 26546390
- 注册: 2021-06-06
- 性别: GG
- 专业: 电化学分析
5楼2021-07-06 08:19:51














回复此楼