| 查看: 1294 | 回复: 1 | ||
| 【悬赏金币】回答本帖问题,作者xincer将赠送您 20 个金币 | ||
xincer木虫 (小有名气)
|
[求助]
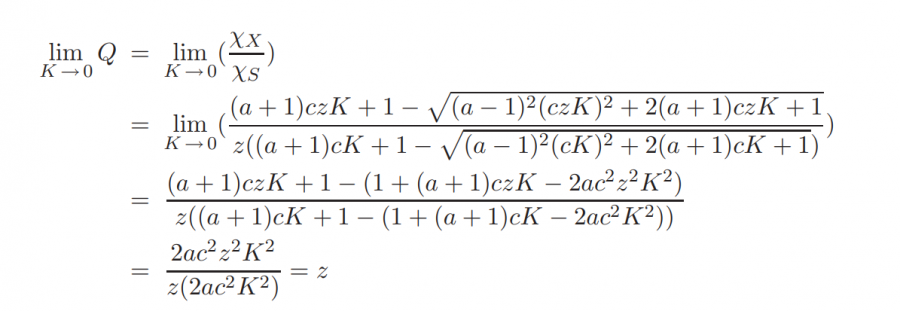
求助,文章中求极限的过程
|
|
|
|
||
chenhuanlong禁虫 (文学泰斗) |
|
|
|
2楼2021-06-25 06:27:41
|
|
|













,谢谢啦!
回复此楼