| 查看: 1460 | 回复: 2 | ||
gc521至尊木虫 (著名写手)
|
[求助]
求助matlab中目标函数如何表达 已有1人参与
|
|
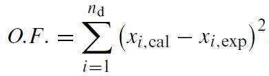
如何在matlab中使用程序语言对图中的目标函数进行表达。目标函数为图1中的平均方差表达式,括号中第一项xi,cal的表达式如图2所示,括号中第二项xi,exp为一系列实验测定值。 图1.jpg 图2.jpg |
» 猜你喜欢
290调剂生物0860
已经有41人回复
291求调剂
已经有3人回复
211本科材料化工求调剂
已经有23人回复
山东省基金2026
已经有9人回复
一志愿华中农业071010,320求调剂
已经有5人回复
药学求调剂
已经有13人回复
求调剂推荐
已经有4人回复
085400电子信息类(川大控制工程)求调剂可跨专业 求老师联系
已经有6人回复
材料工程281还有调剂机会吗
已经有42人回复
273求调剂
已经有6人回复

hzlhm
至尊木虫 (著名写手)
- 应助: 387 (硕士)
- 金币: 17814.5
- 红花: 53
- 帖子: 2879
- 在线: 606.3小时
- 虫号: 1517335
- 注册: 2011-11-30
- 性别: GG
- 专业: 常微分方程与动力系统

2楼2021-06-10 22:25:17
gc521
至尊木虫 (著名写手)
- 应助: 0 (幼儿园)
- 金币: 11773.1
- 散金: 397
- 红花: 5
- 帖子: 2327
- 在线: 318.9小时
- 虫号: 1889177
- 注册: 2012-07-12
- 性别: GG
- 专业: 工程热物理与能源利用

3楼2021-06-14 10:15:49














回复此楼
10