| ²é¿´: 1337 | »Ø¸´: 2 | ||
| ¡¾ÐüÉͽð±Ò¡¿»Ø´ð±¾ÌûÎÊÌ⣬×÷Õß´ò¹¤ÈË9527½«ÔùËÍÄú 200 ¸ö½ð±Ò | ||
´ò¹¤ÈË9527гæ (СÓÐÃûÆø)
|
[ÇóÖú]
ÈçºÎÓÐЧʹÓÃCOMSOL¸´ÏÖÎÄÏ×ÖеÄÌØ¶¨·½³Ì£¿
|
|
|
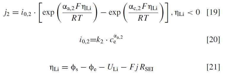
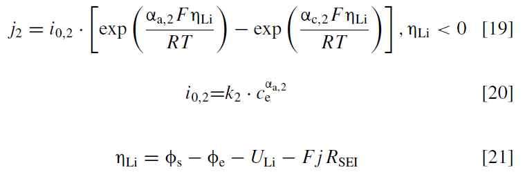
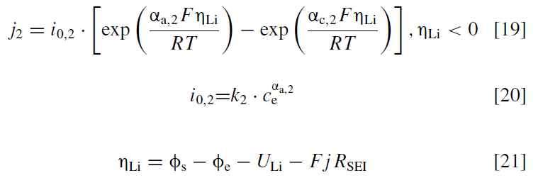
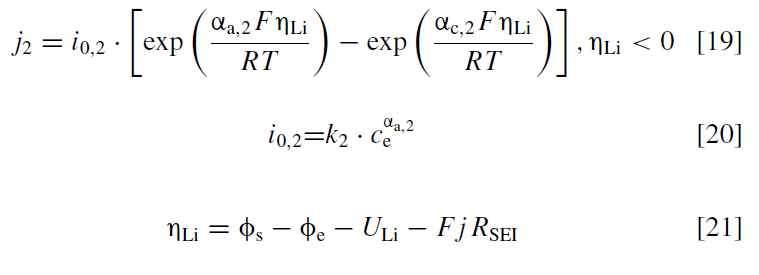
µç³ØÔÚ³ä·Åµç¹ý³ÌÖлᷢÉú¸±·´Ó¦£¬¶øÎöï®±ãÊÇÆäÖÐÒ»ÖÖ¡£µ±Îöï®·´Ó¦¹ýµçÊÆ£¼0ʱ£¬Îöï®ÏÖÏó·¢Éú¡£ Æä·´Ó¦·½³ÌʽÈçµÚÒ»ÕÅͼËùʾ£¬·´Ó¦µçÁ÷ÃܶÈÈçµÚ¶þÕÅͼËùʾ¡£ÎÄÕÂÖÐÃèÊöµÄÎö﮹ýµçÊÆÇúÏßÈçͼÈýÖÐÀ¶ÏßËùʾ¡£ »ùÓڴ˱³¾°£¬ÎÒÔÚCOMSOLÖÐ×öÈçÏÂÉèÖã¬ÈçͼËÄËùʾ£¬Ê¦ÐÖliion. eta_per2´ú±í¶ÔÓ¦·½³ÌʽͼÖÐÃûΪ¹ýµçλµÄ±äÁ¿Ãû³Æ£¬Æä¼ÆËã±í´ïʽΪphis-phil-liion. deltaphi£¬Ê½ÖÐliion. deltaphi´ú±íĤµçλ½µ¡£½«´Ë±äÁ¿ÔÚ½á¹û½çÃæ»æ³ö£¬È´·¢ÏÖ¸ù±¾¾ÍÊÇÒ»¸ö´óÓÚ0µÄÁ¿£¬ÈçͼÎåËùʾ¡£ÄÇôÎÊÌâµ½µ×³öÔÚÄÄÁË£¿ÊÇÎÒµÄÓ÷¨²»¶Ô»¹ÊÇÎÄÕ¸ù±¾¾ÍÊÇ´íµÄ£¿ ·¢×ÔСľ³æAndroid¿Í»§¶Ë |
» ²ÂÄãϲ»¶
½ÜÇà/³¤½ÍŶÓÕÐÊÕ˶ʿµ÷¼Á
ÒѾÓÐ5È˻ظ´
Çൺ´óѧ»¯Ñ§»¯¹¤Ñ§Ôº2026ÄêÕÐÊÕµ÷¼Á˶ʿÑо¿Éú
ÒѾÓÐ0È˻ظ´
ÎïÀí»¯Ñ§ÂÛÎÄÈóÉ«/·ÒëÔõôÊÕ·Ñ?
ÒѾÓÐ150È˻ظ´
²ÄÁÏ¿ÆÑ§Ó빤³Ì »ò ²ÄÁÏÓ뻯¹¤£¨×¨Ë¶£©µ÷¼Á ÒªÇ󣺳õÊÔ¿¼408
ÒѾÓÐ0È˻ظ´
298·Ö 070300Çóµ÷¼Á
ÒѾÓÐ11È˻ظ´
ºþÄÏ´óѧÕÅÊÀ¹úÍŶÓÕÐ26ÄêµÚ¶þÅú²©Ê¿¡ªÀë×ÓÒºÌå¡¢¸ß·Ö×ÓÓëÄý½º²ÄÁÏ
ÒѾÓÐ0È˻ظ´
ºþÄÏũҵ´óѧÄÜÔ´²ÄÁÏ´´ÐÂÍŶÓÕÐÊÕ2025»¯Ñ§×¨ÒµÑо¿Éú£¨Ñ§Ë¶£©µ÷¼Á
ÒѾÓÐ0È˻ظ´
2026ÄêÎ÷»ª´óѧ²ÄÁÏѧԺ-²ÄÁϽü¾»³ÉÐÎÓë±íÃæ¼¼ÊõÑо¿ÍŶÓ-ÕÐÊÕµ÷¼ÁÑо¿Éú
ÒѾÓÐ7È˻ظ´
µ÷¼ÁÐÅÏ¢
ÒѾÓÐ0È˻ظ´
»ªÄÏÀí¹¤0703»¯Ñ§£¬×Ü·Ö336Çóµ÷¼Á
ÒѾÓÐ1È˻ظ´
ºÓ±±Å©´óÉúÎïÓëҽҩרҵÕÐÊÕµ÷¼Á£¬Ãû¶î³ä×ã
ÒѾÓÐ0È˻ظ´
´ò¹¤ÈË9527
гæ (СÓÐÃûÆø)
- Ó¦Öú: 0 (Ó×¶ùÔ°)
- ½ð±Ò: 48.8
- É¢½ð: 20
- Ìû×Ó: 104
- ÔÚÏß: 2Сʱ
- ³æºÅ: 26118090
- ×¢²á: 2021-04-02
- ÐÔ±ð: GG
- רҵ: µç»¯Ñ§
2Â¥2021-05-24 21:37:33
·ÈËM
ͳæ (³õÈëÎÄ̳)
- Ó¦Öú: 0 (Ó×¶ùÔ°)
- ½ð±Ò: 125
- Ìû×Ó: 2
- ÔÚÏß: 108.6Сʱ
- ³æºÅ: 10677290
- ×¢²á: 2018-10-14
- רҵ: µç»¯Ñ§
3Â¥2023-06-15 15:02:03














»Ø¸´´ËÂ¥
120