| 查看: 946 | 回复: 0 | ||
| 【悬赏金币】回答本帖问题,作者海仙儿将赠送您 50 个金币 | ||
[求助]
lammsp计算弹性参数 关于应力应变涨落和弹性热浴的方法
|
||
|
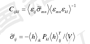
在哈工大崔志伟博士的论文《离子间相互作用势的研究及其在固体电解质 GDC 中的应用》里面发现了关于应力应变涨落和弹性热浴的方法,本人不是很理解,特别是关于应力张量的求解,不知道使用lammps里面的什么量能计算出来,关于他应力应变涨落的最后的公式如图,我不知道应力张量是怎么算出来的,里面的P的含义又是什么?有知道的大佬吗? 11.png |
» 猜你喜欢
化工学硕294分,求导师收留
已经有29人回复
求调剂
已经有10人回复
考研求调剂
已经有13人回复
求调剂
已经有3人回复
人工智能320调剂08工类还有机会吗
已经有17人回复
考研英一数一338分
已经有10人回复
求助调剂,跨调
已经有15人回复
085600材料与化工329分求调剂
已经有20人回复
085600材料与化工349分求调剂
已经有15人回复
求调剂
已经有13人回复














回复此楼