| 查看: 314 | 回复: 0 | ||
| 【悬赏金币】回答本帖问题,作者tanzi001将赠送您 80 个金币 | ||
tanzi001铁虫 (小有名气)
|
[求助]
分数阶laplace逆变换问题求助
|
|
|
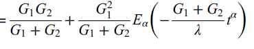
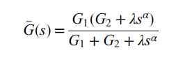
请问如图所示的分数阶微积分怎么进行laplace逆变换,第二张图片是别人的结果,但是我不知道怎么求得的 发自小木虫Android客户端 |
» 猜你喜欢
085600材料与化工329分求调剂
已经有5人回复
复试调剂
已经有18人回复
310求调剂
已经有16人回复
274求调剂
已经有7人回复
284求调剂
已经有8人回复
245求调剂
已经有7人回复
有爆料,一个青年教师卖房得400万,然后换了一个四青帽子
已经有11人回复
290求调剂
已经有15人回复
材料相关专业344求调剂双非工科学校或课题组
已经有16人回复
一志愿西交机械专硕求调剂
已经有9人回复














回复此楼