| ²é¿´: 598 | »Ø¸´: 0 | ||
| ¡¾ÐüÉͽð±Ò¡¿»Ø´ð±¾ÌûÎÊÌ⣬×÷ÕßZOE.LAi½«ÔùËÍÄú 50 ¸ö½ð±Ò | ||
ZOE.LAiгæ (ÕýʽдÊÖ)
|
[ÇóÖú]
Òò¹û¹ØÏµÖ®ÌÝ£ºdoÔËËã
|
|
|
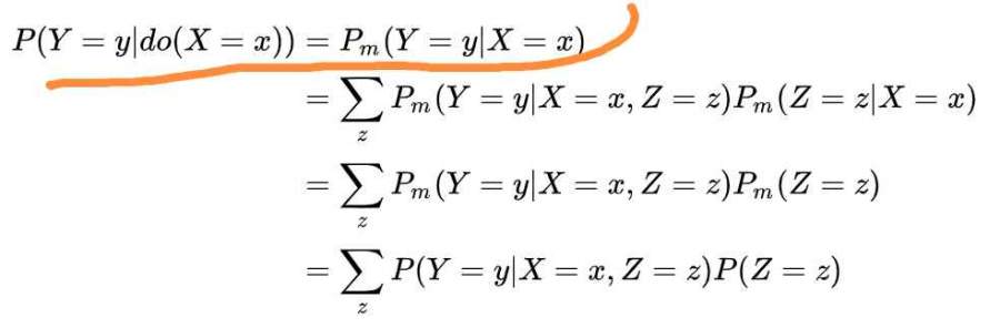
ÏÂͼʽ×ÓÎÒûÓÐÀí½âΪʲôµÚÒ»¸öµÈºÅ¾Í³ÉÁ¢ÁËÄØ£¿ ²»ÊÇdoµÄ»°±íʾµ±ÎÒÃǸÉÔ¤Ò»±äÁ¿µÄֵΪijֵʱ£¬ÁíÒ»±äÁ¿µÄµÄ¸ÅÂÊ¡£ µ«ÊÇÏÂͼÖУ¬µÚÒ»¸öµÈºÅÖ±½Ó½«¸ÉԤת±ä³ÉÁËÒÔ±äÁ¿ÎªÌõ¼þϵÄÁíÒ»±äÁ¿µÄ¸ÅÂÊ¡£ ËùÒÔû¶®ÕâµÈºÅÊÇÈçºÎ³ÉÁ¢µÄ¡£ ·¢×ÔСľ³æAndroid¿Í»§¶Ë |
» ²ÂÄãϲ»¶
278Çóµ÷¼Á
ÒѾÓÐ15È˻ظ´
284Çóµ÷¼Á
ÒѾÓÐ15È˻ظ´
293µ÷¼Á
ÒѾÓÐ16È˻ظ´
273Çóµ÷¼Á
ÒѾÓÐ45È˻ظ´
22408 266Çóµ÷¼Á
ÒѾÓÐ13È˻ظ´
266Çóµ÷¼Á
ÒѾÓÐ15È˻ظ´
Ò»Ö¾Ô¸»ª¶«Àí¹¤085601²ÄÁϹ¤³Ì303·ÖÇóµ÷¼Á
ÒѾÓÐ9È˻ظ´
ÉúÎïѧ328·ÖÇóµ÷¼Á
ÒѾÓÐ4È˻ظ´
277Çóµ÷¼Á
ÒѾÓÐ6È˻ظ´
265Çóµ÷¼Á
ÒѾÓÐ21È˻ظ´














»Ø¸´´ËÂ¥