| 查看: 1512 | 回复: 2 | |
| 【悬赏金币】回答本帖问题,作者xuwenqiang10将赠送您 5 个金币 | |
xuwenqiang10金虫 (小有名气)
|
[求助]
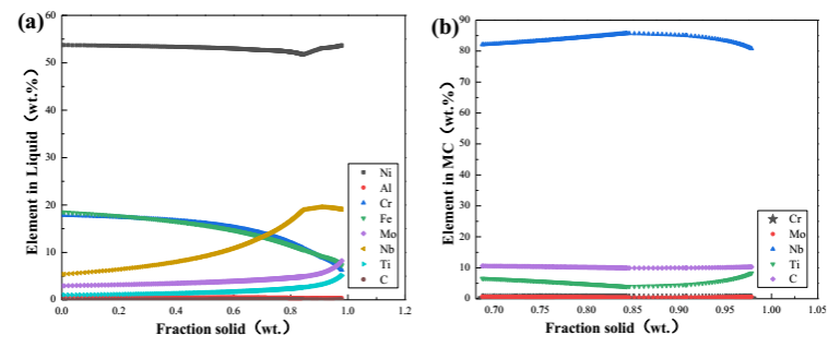
利用 Jmatpro软件计算合金非平衡凝固过程中元素再分配规律,
|
|
|
|
努力的小强子新虫 (小有名气)
|
|
|
2楼2021-07-14 17:01:50
|
|
tiger515新虫 (正式写手)
|
|
|
3楼2022-07-25 16:56:02
|
|














回复此楼