| 查看: 762 | 回复: 1 | |||
[交流]
求助有关—计时电流法做双对数曲线图通过斜率判断成核机理的相关文献
|
|
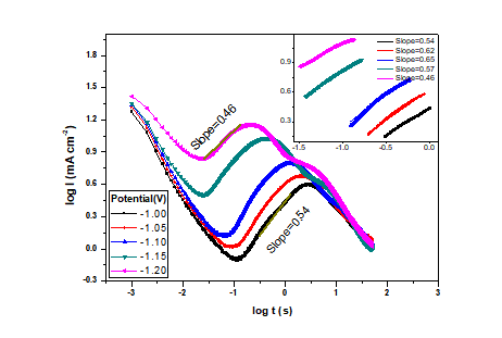
之前看到一个双对数曲线图来判断成核机理的,斜率接近0.5为瞬时成核,接近1为连续成核; 但是我找不到具体文献了,有没有哪位大神知道相关文献的,麻烦告诉一下!非常感谢!! 微信图片_20210408214002.png |
» 猜你喜欢
青岛大学化学化工学院2026年招收调剂硕士研究生
已经有0人回复
材料科学与工程 或 材料与化工(专硕)调剂 要求:初试考408
已经有0人回复
分析化学论文润色/翻译怎么收费?
已经有202人回复
298分 070300求调剂
已经有13人回复
湖南大学张世国团队招26年第二批博士—离子液体、高分子与凝胶材料
已经有0人回复
湖南农业大学能源材料创新团队招收2025化学专业研究生(学硕)调剂
已经有0人回复
2026年西华大学材料学院-材料近净成形与表面技术研究团队-招收调剂研究生
已经有8人回复
调剂信息
已经有0人回复
华南理工0703化学,总分336求调剂
已经有1人回复
河北农大生物与医药专业招收调剂,名额充足
已经有0人回复
齐鲁工业大学 国家重点实验室-新能源、锂离子电池、材料、化学方向
已经有0人回复
2楼2021-04-09 20:29:31














回复此楼