| ²é¿´: 1908 | »Ø¸´: 0 | ||
| ¡¾ÐüÉͽð±Ò¡¿»Ø´ð±¾ÌûÎÊÌ⣬×÷Õß´óÌ«Ñô8½«ÔùËÍÄú 66 ¸ö½ð±Ò | ||
´óÌ«Ñô8гæ (СÓÐÃûÆø)
|
[ÇóÖú]
CÓïÑÔ±àÒë
|
|
|
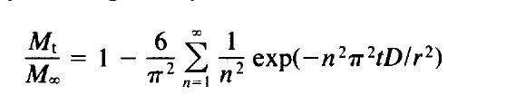
ÓÃÕâ¸ö·½³ÌÄâºÏÇúÏߣ¨Mt/M¡Þ-t£©£¬ÓõÄÊÇoriginÄâºÏÀïµÄoriginC£¬ÐèÒªCÓïÑÔ±àÒ룬ÄÄλ´óÉñ°ïÒ»¹þ£¿¸Ð¼¤£¡ ·½³Ìʽ |
» ²ÂÄãϲ»¶
271Çóµ÷¼Á
ÒѾÓÐ38È˻ظ´
293Çóµ÷¼Á
ÒѾÓÐ18È˻ظ´
327Çóµ÷¼Á
ÒѾÓÐ22È˻ظ´
²ÄÁÏ085601µ÷¼Á
ÒѾÓÐ33È˻ظ´
Çóµ÷¼Á
ÒѾÓÐ14È˻ظ´
Çóµ÷¼Á
ÒѾÓÐ11È˻ظ´
»¯Ñ§070300 Çóµ÷¼Á
ÒѾÓÐ21È˻ظ´
297¹¤¿Æµ÷¼Á?
ÒѾÓÐ3È˻ظ´
300·ÖÇóµ÷¼Á £¨085501»úеר˶£¬±¾¿ÆÑï´ó£©
ÒѾÓÐ9È˻ظ´
µ÷¼ÁÇóÊÕÁô
ÒѾÓÐ32È˻ظ´














»Ø¸´´ËÂ¥