| 查看: 918 | 回复: 53 | ||
| 【有奖交流】积极回复本帖子,参与交流,就有机会分得作者 2446050 的 3 个金币 ,回帖就立即获得 1 个金币,每人有 1 次机会 | ||
[交流]
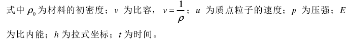
关于拉格朗日坐标系下质量守恒方程如何推导
|
||
» 抢金币啦!回帖就可以得到:
海南大学徐月山老师招收2026年第二批博士名额1个--化工反应设备设计方向
+1/175
坐标北京 真诚脱单
+1/95
加拿大/英属哥伦比亚大学曹彦凯课题组招收全奖博士/博后 [机器学习/优化/控制方向]
+1/91
湘潭大学化学学院陈华杰教授课题组招收有机/高分子方向的博士研究生
+1/82
UNSW 光伏与可再生能源工程学院 Prof. Xiaojing Hao 课题组博士招生
+1/78
招贤纳博(已结束)
+1/75
国家青年人才叶立群教授课题组招收2026级博士研究生
+1/35
双一流大学湘潭大学“化工过程模拟与强化”国家地方联合工程研究中心招收各类博士生
+1/34
【宁德时代招聘】电化学科学家
+1/28
南京大学能源与资源学院蔡亮课题组诚招博士后、助理研究员(AEM、PEM电解水制氢方向)
+1/15
现代材料与先进制造团队硕士生、博士生以及博士毕业生招收公告
+1/9
大连工业杰青、长江团队-生物质材料方向招收2026级博士生
+1/8
北理工柔性电子国家杰青团队招【博士后】【博士】【科研助理】
+1/5
山东大学集成电路学院博士招生
+1/5
诚招博士后及研究人员
+1/5
想替换掉环状DNA中心通道中的金属离子 如何替换才是正确操作
+1/4
同济大学高绍荣院士王冕课题组诚聘博士后
+1/3
三峡集团科研院海上风电研究项目实习生招聘公告
+1/3
澳洲皇家墨尔本理工RMIT招收网安方向CSC PhD
+1/2
兰州大学物理学院韩卫华教授课题组招收 2026年博士研究生 (物理、电子以及核能源方向)
+1/1
简单回复
2021-01-20 23:54
回复
2446050(金币+1): 谢谢参与
2021-01-21 02:18
回复
2446050(金币+1): 谢谢参与
2021-01-22 15:37
回复
2446050(金币+1): 谢谢参与
7
2021-01-22 16:11
回复
2446050(金币+1): 谢谢参与
nono20096楼
2021-01-22 22:11
回复
2446050(金币+1): 谢谢参与
·
psylhh7楼
2021-01-22 23:45
回复
2446050(金币+1): 谢谢参与
2021-01-25 12:30
回复
2446050(金币+1): 谢谢参与
zzhello9楼
2021-01-26 00:19
回复
2446050(金币+1): 谢谢参与
。 发自小木虫Android客户端
yaqianye10楼
2021-01-26 00:19
回复
2446050(金币+1): 谢谢参与
。 发自小木虫Android客户端
gofast11211楼
2021-01-26 00:19
回复
2446050(金币+1): 谢谢参与
。 发自小木虫Android客户端
蓉蓉番薯12楼
2021-01-26 00:19
回复
2446050(金币+1): 谢谢参与
。 发自小木虫Android客户端
howtoge13楼
2021-01-26 00:19
回复
2446050(金币+1): 谢谢参与
。 发自小木虫Android客户端
icanspll14楼
2021-01-26 00:19
回复
2446050(金币+1): 谢谢参与
。 发自小木虫Android客户端
likecitywo15楼
2021-01-26 00:20
回复
2446050(金币+1): 谢谢参与
。 发自小木虫Android客户端
shehuifei16楼
2021-01-26 00:23
回复
2446050(金币+1): 谢谢参与
。 发自小木虫Android客户端
Haibo_17楼
2021-01-26 00:23
回复
2446050(金币+1): 谢谢参与
。 发自小木虫Android客户端
yaqianye18楼
2021-01-26 15:20
回复
蓉蓉番薯19楼
2021-01-26 15:20
回复
likecitywo20楼
2021-01-26 15:20
回复
icanspll21楼
2021-01-26 15:20
回复
zzhello22楼
2021-01-26 15:20
回复
howtoge23楼
2021-01-26 15:20
回复
gofast11224楼
2021-01-26 15:20
回复
Haibo_25楼
2021-01-26 15:22
回复
shehuifei26楼
2021-01-26 15:24
回复
蓉蓉番薯27楼
2021-01-26 23:13
回复
yaqianye28楼
2021-01-26 23:16
回复
icanspll29楼
2021-01-26 23:16
回复
likecitywo30楼
2021-01-26 23:16
回复
gofast11231楼
2021-01-26 23:18
回复
zzhello32楼
2021-01-26 23:19
回复
shehuifei33楼
2021-01-26 23:19
回复
howtoge34楼
2021-01-26 23:19
回复
Haibo_35楼
2021-01-26 23:19
回复
蓉蓉番薯36楼
2021-01-27 14:12
回复
likecitywo37楼
2021-01-27 14:15
回复
zzhello38楼
2021-01-27 14:15
回复
gofast11239楼
2021-01-27 14:16
回复
icanspll40楼
2021-01-27 14:17
回复
howtoge41楼
2021-01-27 14:17
回复
yaqianye42楼
2021-01-27 14:18
回复
Haibo_43楼
2021-01-27 14:20
回复
shehuifei44楼
2021-01-27 14:23
回复
蓉蓉番薯45楼
2021-01-27 22:10
回复
zzhello46楼
2021-01-27 22:11
回复
gofast11247楼
2021-01-27 22:13
回复
icanspll48楼
2021-01-27 22:15
回复
likecitywo49楼
2021-01-27 22:17
回复
yaqianye50楼
2021-01-27 22:17
回复














回复此楼