| 查看: 1115 | 回复: 2 | ||
277853534银虫 (小有名气)
|
[求助]
物理化学习题求助 已有1人参与
|
|
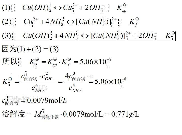
求助题目,计算25℃时,化学反应的标准平衡常数,并估算Cu(OH)2在5.0mol/L氨水中的溶解度。 已知, 1605610897(1).jpg 8d6a027bd8029cc0e0561e01f36cc67.jpg |
» 猜你喜欢
可生物降解聚酯正在重塑现代医疗器械
已经有0人回复
26届博士申请
已经有4人回复
有机高分子材料论文润色/翻译怎么收费?
已经有137人回复
PLLA 微球在生物医学领域的研究与应用
已经有1人回复
PLLA 微球的材料特性与制备工艺解析
已经有0人回复
医用聚己内酯(PCL)全解析:从两段式降解到组织工程应用
已经有0人回复
反相硅胶如何再生?
已经有1人回复
哈尔滨理工大学2026年研究生调剂,材料科学与化学工程学院研究生调剂
已经有3人回复
武汉一本高校招收材料、化学、高分子、纺织、生物相关专业硕士生
已经有0人回复
青岛科技大学材料学院招博士
已经有0人回复

2楼2020-11-19 13:58:17
大学424
铁杆木虫 (著名写手)
- 应助: 10 (幼儿园)
- 金币: 8239.3
- 散金: 11
- 帖子: 1195
- 在线: 276.5小时
- 虫号: 984237
- 注册: 2010-03-28
- 性别: GG
- 专业: 无机化学

3楼2020-11-22 23:28:56













回复此楼