| 查看: 725 | 回复: 1 | |
| 【悬赏金币】回答本帖问题,作者DUT冬妆将赠送您 15 个金币 | |
[求助]
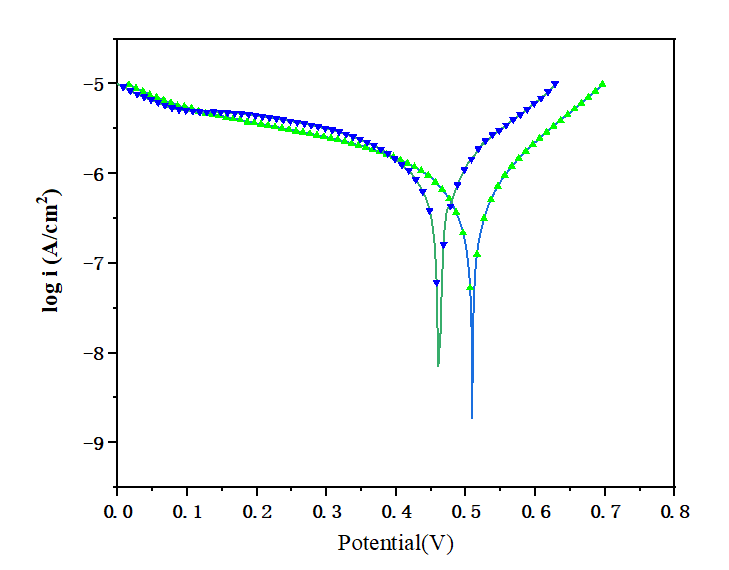
测了高熵合金涂层的极化曲线,求大佬帮忙指导一下
|
|
|
|
|
|
2楼2020-10-29 10:33:02
|
|













回复此楼