±±¾©Ê¯ÓÍ»¯¹¤Ñ§Ôº2026ÄêÑо¿ÉúÕÐÉú½ÓÊÕµ÷¼Á¹«¸æ
²é¿´: 739  |  »Ø¸´: 0
¡¾ÐüÉͽð±Ò¡¿»Ø´ð±¾ÌûÎÊÌ⣬×÷Õßkidami2014½«ÔùËÍÄú 20 ¸ö½ð±Ò

kidami2014

гæ (³õÈëÎÄ̳)

[ÇóÖú] fluent˲̬ƽ¾ù·ç³¡Ä£Äâ

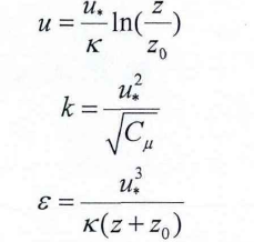
ÎÒÔÚ×öÒ»¸öÉùÆÁÕÏ˲̬ƽ¾ù·ç³¡µÄÄ£Ä⣬ģÐͺÍÍø¸ñÈçÏ£¬ÓõÄRNG k-eÄ£ÐÍ£¬Æ½¾ù·çÈë¿ÚÓõĶÔÊýÂÊÌݶȷ磬¹ØÏµÊ½Ò²ÔÚÏÂÃæ
ΪʲôÎÒ¼ì²âµ½µÄÉùÆÁÕÏÉϵÄѹÁ¦Ò»Ö±ÔÚ¼õÐ¡ÄØ£¬ËãÁËһǧ¶à²½»¹ÊÇÕâÑù£¬°´µÀÀí˵ºá·çµÄ·çËÙÊǺ㶨µÄ£¬¾ÍËãѹÁ¦ÊDz¨¶¯µÄµ«ÊÇÒ²²»Ó¦¸ÃÒ»Ö±¼õС°¡£¿Çó´óÀнâ´ð£¡£¡

fluent˲̬ƽ¾ù·ç³¡Ä£Äâ
QQ½ØÍ¼20201028202339.png


fluent˲̬ƽ¾ù·ç³¡Ä£Äâ-1
QQ½ØÍ¼20201028202349.png


fluent˲̬ƽ¾ù·ç³¡Ä£Äâ-2
QQ½ØÍ¼20201028202426.png


fluent˲̬ƽ¾ù·ç³¡Ä£Äâ-3
¡¤.png
»Ø¸´´ËÂ¥

» ²ÂÄãϲ»¶

ÒÑÔÄ   »Ø¸´´ËÂ¥   ¹Ø×¢TA ¸øTA·¢ÏûÏ¢ ËÍTAºì»¨ TAµÄ»ØÌû
Ïà¹Ø°æ¿éÌø×ª ÎÒÒª¶©ÔÄÂ¥Ö÷ kidami2014 µÄÖ÷Ìâ¸üÐÂ
²»Ó¦Öú È·¶¨»ØÌûÓ¦Öú (×¢Ò⣺ӦÖú²Å¿ÉÄܱ»½±Àø£¬µ«²»ÔÊÐí¹àË®£¬±ØÐëÌîд15¸ö×Ö·ûÒÔÉÏ)
×î¾ßÈËÆøÈÈÌûÍÆ¼ö [²é¿´È«²¿] ×÷Õß »Ø/¿´ ×îºó·¢±í
[¿¼ÑÐ] Ò»Ö¾Ô¸Ö£ÖÝ´óѧ£¬080500ѧ˶£¬×Ü·Ö317·ÖÇóµ÷¼Á +4 ¾Ù¸öÀõ×Óoi 2026-03-24 5/250 2026-03-26 23:15 by ²»³Ôô~µÄ؈
[¿¼ÑÐ] 329Çóµ÷¼Á +5 1() 2026-03-22 5/250 2026-03-26 20:40 by fmesaito
[¿¼ÑÐ] 07»¯Ñ§280·ÖÇóµ÷¼Á +8 722865 2026-03-23 8/400 2026-03-26 20:00 by ²»³Ôô~µÄ؈
[¿¼ÑÐ] ÉúÎïѧ 296 Çóµ÷¼Á +4 ¶ä¶ä- 2026-03-26 6/300 2026-03-26 19:01 by ²»³Ôô~µÄ؈
[¿¼ÑÐ] ²ÄÁÏ¿¼ÑÐÇóµ÷¼Á +3 Dendel 2026-03-23 6/300 2026-03-26 17:51 by fmesaito
[¿¼ÑÐ] µ÷¼ÁÍÆ¼ö +4 Ç徯714 2026-03-26 5/250 2026-03-26 17:49 by fmesaito
[¿¼ÑÐ] 275Çóµ÷¼Á +9 Micky11223 2026-03-25 11/550 2026-03-26 15:54 by ²»³Ôô~µÄ؈
[¿¼ÑÐ] Ò»Ö¾Ô¸ ÄϾ©Óʵç´óѧ 288·Ö ²ÄÁÏ¿¼ÑÐ Çóµ÷¼Á +3 jl0720 2026-03-26 3/150 2026-03-26 13:39 by zzll406
[¿¼ÑÐ] »·¾³×¨Ë¶324·ÖÇóµ÷¼ÁÍÆ¼ö +5 ÐùСÄþ¡ª¡ª 2026-03-26 5/250 2026-03-26 12:05 by i_cooler
[¿¼ÑÐ] 291 Çóµ÷¼Á +7 »¯¹¤2026½ì±ÏÒµÉ 2026-03-21 8/400 2026-03-26 11:25 by AlenQIN.
[¿¼ÑÐ] 293Çóµ÷¼Á +7 ¼ÓÒ»Ò»¾Å 2026-03-24 7/350 2026-03-25 12:02 by userper
[¿¼ÑÐ] »¯Ñ§µ÷¼Á +6 yzysaa 2026-03-21 6/300 2026-03-25 09:27 by aa331100
[¿¼ÑÐ] BÇø¿¼Ñе÷¼Á +4 yqdszhdap£­ 2026-03-22 5/250 2026-03-25 08:51 by baoball
[¿¼ÑÐ] 0703»¯Ñ§µ÷¼Á£¬Çóµ¼Ê¦ÊÕ +7 ÌìÌìºÃÔËÀ´Éϰ¶° 2026-03-24 7/350 2026-03-24 20:26 by peike
[¿¼ÑÐ] µ÷¼Á +4 13853210211 2026-03-24 4/200 2026-03-24 19:44 by ms629
[¿¼ÑÐ] 269Çóµ÷¼Á +4 ÎÒÏë¶ÁÑÐ11 2026-03-23 4/200 2026-03-23 21:25 by pswait
[¿¼ÑÐ] Ò»Ö¾Ô¸»ªÖÐũҵ071010£¬×Ü·Ö320Çóµ÷¼Á +5 À§À§À§À§À¤À¤ 2026-03-20 6/300 2026-03-22 17:41 by hxsm
[¿¼ÑÐ] Ò»Ö¾Ô¸Éî´ó£¬0703»¯Ñ§£¬×Ü·Ö302£¬Çóµ÷¼Á +4 ÆßÔÂ-ÆßÆß 2026-03-21 4/200 2026-03-21 18:20 by ѧԱ8dgXkO
[¿¼ÑÐ] 336Çóµ÷¼Á +5 rmc8866 2026-03-21 5/250 2026-03-21 17:24 by ѧԱ8dgXkO
[¿¼ÑÐ] Çóµ÷¼Á +3 eation27 2026-03-20 3/150 2026-03-20 19:32 by JourneyLucky
ÐÅÏ¢Ìáʾ
ÇëÌî´¦ÀíÒâ¼û