| ²é¿´: 958 | »Ø¸´: 4 | ||
| ¡¾ÐüÉͽð±Ò¡¿»Ø´ð±¾ÌûÎÊÌ⣬×÷ÕßÖìÓ¨¾²½«ÔùËÍÄú 10 ¸ö½ð±Ò | ||
ÖìÓ¨¾²Í³æ (СÓÐÃûÆø)
|
[ÇóÖú]
¾ÛºÏ·´Ó¦ÇóÖú
|
|
|
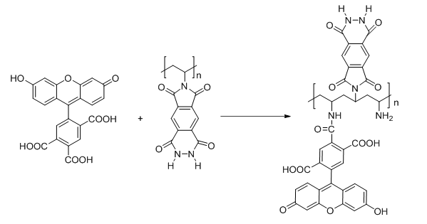
Íêȫû½Ó´¥¹ý¸ß·Ö×Ó£¬Çë´ó¼Ò°ïæ¿´Ò»ÏÂÕâ¸ö·´Ó¦ÄÜ·ñ·¢Éú£¬Èô¿ÉÒÔ£¬ÊÇÔõÑùµÄ·´Ó¦Ìõ¼þ£¬Èô²»¿ÉÒÔ£¬ÈçºÎ¸Ä½ø£¬¹òл£¡ ·¢×ÔСľ³æIOS¿Í»§¶Ë |
» ²ÂÄãϲ»¶
080100Á¦Ñ§316Çóµ÷¼Á
ÒѾÓÐ5È˻ظ´
Ò»Ö¾Ô¸¿ó´ó£¬²ÄÁϹ¤³Ìר˶314·Ö£¬0856¿Éµ÷¶¼¿ÉÒÔ
ÒѾÓÐ13È˻ظ´
Ò»Ö¾Ô¸Î÷±±¹¤Òµ´óѧ289 085602
ÒѾÓÐ3È˻ظ´
¿¼Ñе÷¼Á
ÒѾÓÐ20È˻ظ´
²ÄÁÏÓ뻯¹¤300Çóµ÷¼Á
ÒѾÓÐ26È˻ظ´
¿¼ÑжþÂÖµ÷¼Á
ÒѾÓÐ6È˻ظ´
²ÄÁϸ´ÊÔÇóµ÷¼Á
ÒѾÓÐ17È˻ظ´
085601³õÊÔ330·ÖÕÒµ÷¼Á
ÒѾÓÐ9È˻ظ´
291 Çóµ÷¼Á
ÒѾÓÐ12È˻ظ´
»¯Ñ§¹¤³ÌÓë¼¼Êõ324µ÷¼Á
ÒѾÓÐ17È˻ظ´
» ±¾Ö÷ÌâÏà¹ØÉ̼ÒÍÆ¼ö: (ÎÒÒ²ÒªÔÚÕâÀïÍÆ¹ã)
ÖìÓ¨¾²
ͳæ (СÓÐÃûÆø)
- Ó¦Öú: 0 (Ó×¶ùÔ°)
- ½ð±Ò: 228.6
- É¢½ð: 76
- ºì»¨: 1
- Ìû×Ó: 145
- ÔÚÏß: 12.2Сʱ
- ³æºÅ: 5278987
- ×¢²á: 2016-11-24
- ÐÔ±ð: MM
- רҵ: »îÌåÓ븴ÔÓÑùÆ··ÖÎö
2Â¥2020-10-11 02:04:07
ÖìÓ¨¾²
ͳæ (СÓÐÃûÆø)
- Ó¦Öú: 0 (Ó×¶ùÔ°)
- ½ð±Ò: 228.6
- É¢½ð: 76
- ºì»¨: 1
- Ìû×Ó: 145
- ÔÚÏß: 12.2Сʱ
- ³æºÅ: 5278987
- ×¢²á: 2016-11-24
- ÐÔ±ð: MM
- רҵ: »îÌåÓ븴ÔÓÑùÆ··ÖÎö
3Â¥2020-10-11 09:13:58
mygodson
½ð³æ (ÖªÃû×÷¼Ò)
- Ó¦Öú: 8 (Ó×¶ùÔ°)
- ½ð±Ò: 21797.3
- É¢½ð: 1681
- ºì»¨: 25
- Ìû×Ó: 5757
- ÔÚÏß: 136Сʱ
- ³æºÅ: 424076
- ×¢²á: 2007-07-21
- ÐÔ±ð: GG
- רҵ: ÓлúºÏ³É
4Â¥2020-10-11 13:30:35
ÖìÓ¨¾²
ͳæ (СÓÐÃûÆø)
- Ó¦Öú: 0 (Ó×¶ùÔ°)
- ½ð±Ò: 228.6
- É¢½ð: 76
- ºì»¨: 1
- Ìû×Ó: 145
- ÔÚÏß: 12.2Сʱ
- ³æºÅ: 5278987
- ×¢²á: 2016-11-24
- ÐÔ±ð: MM
- רҵ: »îÌåÓ븴ÔÓÑùÆ··ÖÎö
5Â¥2020-10-18 20:31:01













»Ø¸´´ËÂ¥