| 查看: 971 | 回复: 1 | ||
| 【悬赏金币】回答本帖问题,作者dsewzj将赠送您 6 个金币 | ||
[求助]
求解考虑表面弹性变形的平均雷诺方程
|
||
|
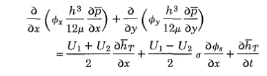
对于油膜较薄时,控制润滑的平均雷诺方程该如何求解,尤其是要考虑表面弹性变形时。我的理解是下图的平均膜厚ht该如何求得,如果平均膜厚求得的话就是常规操作了。 微信图片_20201009220214.png |
» 猜你喜欢
[调剂信息]211智能人工感知方向国家青年特聘专家课题组招收调剂研究生
已经有0人回复
[调剂信息]211智能人工感知方向国家青年特聘专家课题组招收调剂研究生
已经有0人回复
物理学I论文润色/翻译怎么收费?
已经有89人回复
[调剂信息]211智能人工感知方向国家青年特聘专家课题组招收调剂研究生
已经有0人回复
0702一志愿吉大B区求调剂 本科期间发表一篇Sci
已经有2人回复
070200求调剂,一志愿某211,288分
已经有18人回复
法国博士后职位
已经有0人回复
重庆交大26年硕士生招生拟调剂通知已出!欢迎加入机器视觉与3D光学成像课题组。
已经有0人回复
广州大学光电信息工程专业调剂,招收物理学专业学生
已经有1人回复
2楼2020-12-27 02:17:43














回复此楼