| ²é¿´: 826 | »Ø¸´: 0 | ||
[×ÊÔ´]
»ùÓÚcomsol PDEµÄ±ù»¨¾§Ö¦Éú³¤Ä£Äâ
|
|
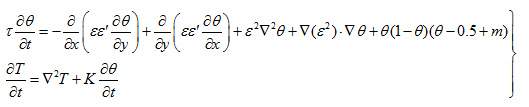
ÓÐÐËȤµÄ¿ÉÒÔÁªÏµÎÒ£¬µã»÷ÎÒµÄÍ·ÏñŶ¡£ ¿ØÖÆ·½³Ì ÆäÖбäÁ¿·½³ÌÈçÏ£º ²ÉÓÃcomsolµÄ¹ãÒåÐÍÆ«Î¢·Ö·½³ÌÄ£¿é½øÐз½³Ì½¨Ä££¬µ÷½ÚºÃ²ÎÊýºÍÍø¸ñ£¬Íê³É±ù»¨¾§Ö¦Éú³¤µÄ·ÂÕæ¡£ Ô´ÎļþÔÚ¸½¼þÖУ¬ÓÐÐËȤµÄ¿ÉÒÔÏÂÔØ²¢À©Õ¹Ñо¿¡£ |
» ±¾Ìû¸½¼þ×ÊÔ´Áбí
-
»¶Ó¼à¶½ºÍ·´À¡£ºÐ¡Ä¾³æ½öÌṩ½»Á÷ƽ̨£¬²»¶Ô¸ÃÄÚÈݸºÔð¡£
±¾ÄÚÈÝÓÉÓû§×ÔÖ÷·¢²¼£¬Èç¹ûÆäÄÚÈÝÉæ¼°µ½ÖªÊ¶²úȨÎÊÌ⣬ÆäÔðÈÎÔÚÓÚÓû§±¾ÈË£¬Èç¶Ô°æÈ¨ÓÐÒìÒ飬ÇëÁªÏµÓÊÏ䣺xiaomuchong@tal.com - ¸½¼þ 1 : a22e8c62c5394981ab5c8cb51682bf60.rar
2020-10-08 21:24:52, 147.86 K
» ²ÂÄãϲ»¶
288Çóµ÷¼Á Ò»Ö¾Ô¸¹þ¹¤´ó ²ÄÁÏÓ뻯¹¤
ÒѾÓÐ31È˻ظ´
Ò»Ö¾Ô¸±±¾©¿Æ¼¼´óѧ085601²ÄÁϹ¤³ÌÓ¢Ò»Êý¶þ³õÊÔ×Ü·Ö335Çóµ÷¼Á
ÒѾÓÐ5È˻ظ´
085801 ×Ü·Ö275 ±¾¿ÆÐÂÄÜÔ´ Çóµ÷¼Á
ÒѾÓÐ17È˻ظ´
324Çóµ÷¼Á
ÒѾÓÐ6È˻ظ´
ѧ˶»¯Ñ§¹¤³ÌÓë¼¼Êõ£¬Ò»Ö¾Ô¸Öйúº£Ñó´óѧ320+Çóµ÷¼Á
ÒѾÓÐ7È˻ظ´
²ÄÁϵ÷¼Á
ÒѾÓÐ5È˻ظ´
³õÊÔ301£¬´úÂë085701»·¾³¹¤³Ì£¬±¾Ë¶Ò»Ö£¬ËÄÁù¼¶Òѹý£¬ÓжþÇøÒ»×÷£¬¹²·¢±í5ƪÂÛÎÄ
ÒѾÓÐ6È˻ظ´
»¯Ñ§308·Öµ÷¼Á
ÒѾÓÐ15È˻ظ´
346Çóµ÷¼Á
ÒѾÓÐ3È˻ظ´
»·¾³285·Ö£¬¹ýÁù¼¶£¬Çóµ÷¼Á
ÒѾÓÐ6È˻ظ´














»Ø¸´´ËÂ¥