| 查看: 214 | 回复: 0 | ||
| 【悬赏金币】回答本帖问题,作者采蘑菇的小六将赠送您 10 个金币 | ||
[求助]
求助几个化学结构
|
||
|
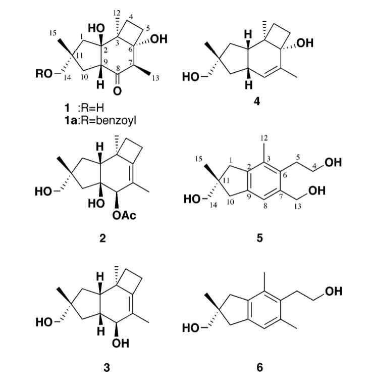
求大神告知图中十二个化学结构的中文名称,谢谢! 发自小木虫Android客户端 |
» 猜你喜欢
售SCI一区文章,我:8 O5 51O 54,科目齐全,可+急
已经有5人回复
售SCI一区文章,我:8 O5 51O 54,科目齐全,可+急
已经有6人回复
售SCI一区文章,我:8 O5 51O 54,科目齐全,可+急
已经有8人回复
售SCI一区文章,我:8 O5 51O 54,科目齐全,可+急
已经有3人回复
售SCI一区文章,我:8 O5 51O 54,科目齐全,可+急
已经有4人回复
版面费该交吗
已经有8人回复
售SCI一区文章,我:8 O5 51O 54,科目齐全,可+急
已经有5人回复
售SCI一区文章,我:8 O5 51O 54,科目齐全,可+急
已经有3人回复
基金正文30页指的是报告正文还是整个申请书
已经有6人回复
面上可以超过30页吧?
已经有4人回复













回复此楼