±±¾©Ê¯ÓÍ»¯¹¤Ñ§Ôº2026ÄêÑо¿ÉúÕÐÉú½ÓÊÕµ÷¼Á¹«¸æ
²é¿´: 287  |  »Ø¸´: 0
¡¾ÐüÉͽð±Ò¡¿»Ø´ð±¾ÌûÎÊÌ⣬×÷ÕßAI_bing½«ÔùËÍÄú 10 ¸ö½ð±Ò

AI_bing

гæ (СÓÐÃûÆø)

[ÇóÖú] ÇóÖú°üÈû±´¿ËϵÊý£¬ÌÀķѷϵÊýµÈµÄº¯Êý±í´ïʽµÄÎÄÏ×

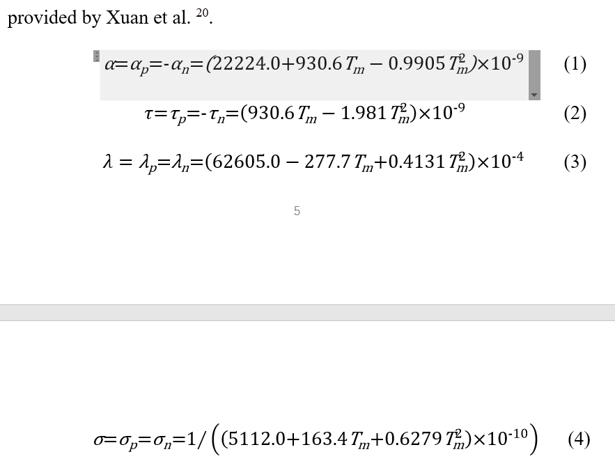
ÇóÖú£ºÈȵç²ÄÁÏ£¬±ÈÈçbisbte »òÕß pbte£¬ËüµÄseebeck coefficient "¦Á" , thomson coefficient ¦Ó, thermal conductivity ¦Ë and electrical conductivity "¦Ò" £¬Õâ4¸ö²ÎÊýÖµ£¬¾ßÌåµÄÖµ£¬»òÕßÊÇζȣ¨±ÈÈçÆ½¾ùζȣ©µÄº¯Êý±í´ïʽ£¬±ÈÈç¶ÔÓÚbi2te3£¬ÉÏÊö4¸ö²ÎÊýÓÐÏÂͼµÄº¯Êý±í´ïʽ£¬º¯Êý±í´ïʽÄÜÌṩÎÄÏ׳ö´¦£¬bi2te3µÄÎÄÏ×¼û¸½¼þ£¬Òª²»È»Ð´ÂÛÎÄû·¨Óã¬ÄܸøÒ»¸öÎÄÏ×Ãû¾Í¿ÉÒÔ¡£
Ö÷ÒªÊÇÄܸøÒ»¸ö°üº¬º¯Êý±í´ïʽµÄÎÄÏס£ÇóÖú°üÈû±´¿ËϵÊý£¬ÌÀķѷϵÊýµÈµÄº¯Êý±í´ïʽµÄÎÄÏ×
123456.png
»Ø¸´´ËÂ¥

» ±¾Ìû¸½¼þ×ÊÔ´Áбí

  • »¶Ó­¼à¶½ºÍ·´À¡£ºÐ¡Ä¾³æ½öÌṩ½»Á÷ƽ̨£¬²»¶Ô¸ÃÄÚÈݸºÔð¡£
    ±¾ÄÚÈÝÓÉÓû§×ÔÖ÷·¢²¼£¬Èç¹ûÆäÄÚÈÝÉæ¼°µ½ÖªÊ¶²úȨÎÊÌ⣬ÆäÔðÈÎÔÚÓÚÓû§±¾ÈË£¬Èç¶Ô°æÈ¨ÓÐÒìÒ飬ÇëÁªÏµÓÊÏ䣺xiaomuchong@tal.com
  • ¸½¼þ 1 : xuan2002.pdf
  • 2020-09-09 20:03:52, 465.76 K

» ²ÂÄãϲ»¶

» ±¾Ö÷ÌâÏà¹ØÉ̼ÒÍÆ¼ö: (ÎÒÒ²ÒªÔÚÕâÀïÍÆ¹ã)

ÒÑÔÄ   »Ø¸´´ËÂ¥   ¹Ø×¢TA ¸øTA·¢ÏûÏ¢ ËÍTAºì»¨ TAµÄ»ØÌû
Ïà¹Ø°æ¿éÌø×ª ÎÒÒª¶©ÔÄÂ¥Ö÷ AI_bing µÄÖ÷Ìâ¸üÐÂ
²»Ó¦Öú È·¶¨»ØÌûÓ¦Öú (×¢Ò⣺ӦÖú²Å¿ÉÄܱ»½±Àø£¬µ«²»ÔÊÐí¹àË®£¬±ØÐëÌîд15¸ö×Ö·ûÒÔÉÏ)
×î¾ßÈËÆøÈÈÌûÍÆ¼ö [²é¿´È«²¿] ×÷Õß »Ø/¿´ ×îºó·¢±í
[¿¼ÑÐ] Çóµ÷¼Á£¡ÉúÎïÓëҽҩר˶ +4 Äæ×ªÂ½ÏÈÉú 2026-04-01 5/250 2026-04-03 08:33 by Jaylen.
[¿¼ÑÐ] Ò»Ö¾Ô¸°²»Õ´óѧ0817»¯Ñ§¹¤³ÌÓë¼¼Êõ£¬Çóµ÷¼Á +13 ÎÒ²»ÊÇÖ»Òò 2026-04-02 14/700 2026-04-03 08:29 by tianyyysss
[¿¼²©] É격ÇóÖú +3 Reee1Llll 2026-04-01 3/150 2026-04-02 22:29 by ÕâÊÇÒ»¸öÎÞÁĵÄê
[¿¼ÑÐ] 085602 ÕÒµ÷¼Á +3 ÄæÊ±Õë¿ìÀÖ 2026-04-02 3/150 2026-04-02 21:23 by dongzh2009
[¿¼ÑÐ] 301Çóµ÷¼Á +14 ÂæÍÕÄÐÈË 2026-04-02 14/700 2026-04-02 14:08 by baoball
[¿¼ÑÐ] Ò»Ö¾Ô¸±±¾©¿Æ¼¼´óѧ085601²ÄÁϹ¤³ÌÓ¢Ò»Êý¶þ³õÊÔ×Ü·Ö335Çóµ÷¼Á +9 Ë«ÂíβƦÀϰå2 2026-04-01 9/450 2026-04-02 12:14 by oooqiao
[¿¼ÑÐ] 085900ÍÁľˮÀû336·ÖÇóµ÷¼Á +4 Zhangjiangj 2026-03-31 6/300 2026-04-02 11:40 by 1753564080
[¿¼ÑÐ] 301Çóµ÷¼Á +13 A_JiXing 2026-04-01 13/650 2026-04-02 09:01 by sanrepian
[¿¼ÑÐ] Ò»Ö¾Ô¸Äϲý´óѧ324Çóµ÷¼Á +12 hanamiko 2026-03-27 12/600 2026-04-01 22:34 by ÔËÆøyunqi
[¿¼ÑÐ] 266·Ö£¬Ò»Ö¾Ô¸µçÆø¹¤³Ì£¬±¾¿Æ²ÄÁÏ£¬Çó²ÄÁÏרҵµ÷¼Á +10 ÍÛºôºßºôºß 2026-04-01 11/550 2026-04-01 21:48 by chyhaha
[¿¼ÑÐ] 349Çóµ÷¼Á +6 ³ÔµÄ²»ÉÙ 2026-04-01 6/300 2026-04-01 17:55 by JYD2011
[¿¼ÑÐ] Ó¢Ò»Êý¶þÉúÎïÐÅϢѧ287·Ö£¬±¾¿ÆÉúÎï¿ÆÑ§£¬Çóµ÷¼Á +3 ±ÌË®xyz 2026-03-29 4/200 2026-04-01 15:35 by plum
[¿¼ÑÐ] 085410È˹¤ÖÇÄÜ ³õÊÔ316·Ö Çóµ÷¼Á +3 ²ÐÐÇ·÷Êï 2026-03-31 3/150 2026-04-01 11:09 by СÐÜraider
[¿¼ÑÐ] 318Çóµ÷¼Á +8 ÆßÒä77 2026-04-01 8/400 2026-04-01 10:37 by Jaylen.
[¿¼ÑÐ] 326Çóµ÷¼Á +4 áÌáÌ×Ð 2026-03-31 4/200 2026-04-01 09:58 by ÎҵĴ¬Îҵĺ£
[¿¼ÑÐ] 335Çóµ÷¼Á +3 321* 2026-03-31 4/200 2026-04-01 00:00 by 321*
[¿¼ÑÐ] 085404 22408 315·Ö +5 zhuangyan123 2026-03-31 6/300 2026-03-31 13:48 by limeifeng
[¿¼ÑÐ] 298Çóµ÷¼Á +4 ÖÖÊ¥´Í 2026-03-28 4/200 2026-03-29 08:42 by q1092522407
[¿¼ÑÐ] 295Çóµ÷¼Á +5 1428151015 2026-03-27 6/300 2026-03-28 04:04 by fmesaito
[¿¼ÑÐ] 272Çóµ÷¼Á +7 ½Å»¬µÄÊØ·¨¹«Ãñ 2026-03-27 7/350 2026-03-27 17:23 by laoshidan
ÐÅÏ¢Ìáʾ
ÇëÌî´¦ÀíÒâ¼û